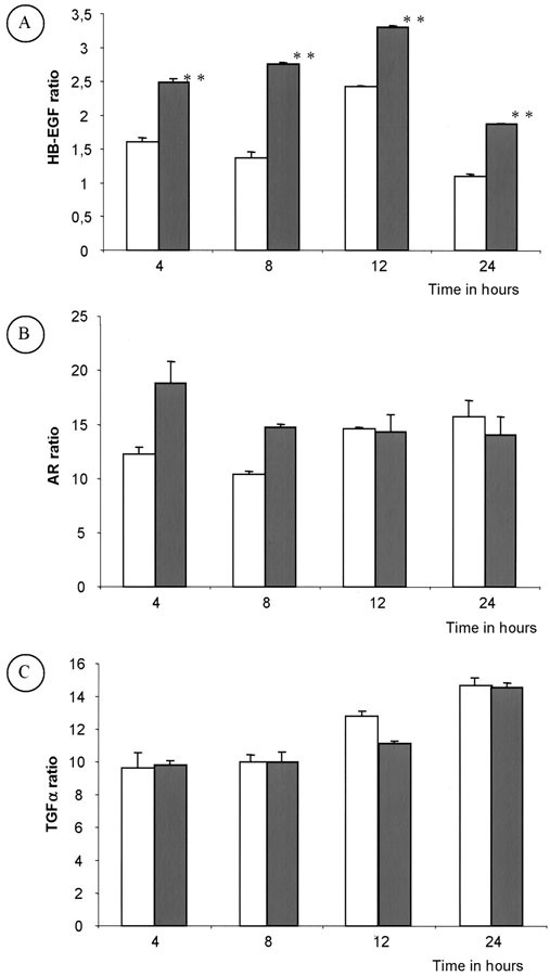
Figure 2
From: Epidermal Growth Factor Receptor Regulates Normal Urothelial Regeneration

Expression of heparin-binding EGF (HB-EGF) (A), amphiregulin (AR) (B), and transforming growth factor-α (TGF-α) (C) mRNA measured by semiquantitative RT-PCR in intact (white bar) and regenerating urothelium (gray bar) in culture. The expression is given as the ratio of the level of mRNA over that of TBP mRNA (**p < 0.0001).