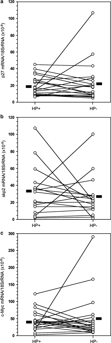
Figure 5

Changes in mRNA transcript number for (a) p27, (B) Skp2, and (c) c-Myc in gastric epithelial cells of 22 patients after the eradication of H. pylori. RNA was extracted from laser-captured microdissected epithelial cells, measured by real-time PCR, and normalized for 18SrRNA. Thick black bars indicates the mean values. None was significantly changed following H. pylori eradication.