Abstract
Two methods, linkage analysis and linkage disequilibrium (LD) mapping or association study, are usually utilised for mapping quantitative trait loci (QTL). Linkage mapping is appropriate for low resolution mapping to localise trait loci to broad chromosome regions within a few cM (<10 cM), and is based on family data. Linkage disequilibrium mapping, on the other hand, is useful in high resolution or fine mapping, and is based on both population and family data. Using only one marker, one may carry out single-point linkage analysis and linkage disequilibrium mapping. Using two or more markers, it is possible to flank the QTL by multipoint analysis. The development and thus availability of dense marker maps, such as single nucleotide polymorphisms (SNP) in human genome, presents a tremendous opportunity for multipoint fine mapping. In this article, we propose a regression approach of mapping QTL by linkage disequilibrium mapping based on population data. Assuming that two marker loci flank one quantitative trait locus, a two-point linear regression is proposed to analyse population data. We derive analytical formulas of parameter estimations, and non-centrality parameters of appropriate tests of genetic effects and linkage disequilibrium coefficients. The merit of the method is shown by the power calculation and comparison. The two-point regression model can capture much more linkage and linkage disequilibrium information than that derived when only one marker is used. For a complex disease with heritability h2⩾0.15, a study with sample size of 250 can provide high power for QTL detection under moderate linkage disequilibria.
Similar content being viewed by others
Log in or create a free account to read this content
Gain free access to this article, as well as selected content from this journal and more on nature.com
or
References
Schork NJ . Extended multipoint identity-by-descent analysis of human quantitative traits: efficiency, power, and modeling considerations Am J Hum Genet 1993 53: 1306–1319
Fulker DW, Cardon LR . A sib-pair approach to interval mapping of quantitative trait loci Am J Hum Genet 1994 54: 1092–1103
Fulker DW, Cherny SS, Cardon LR . Multipoint interval mapping of quantitative trait loci, using sibpairs Am J Hum Genet 1995 56: 1224–1233
Almasy L, Blangero J . Multipoint quantitative trait linkage analysis in general pedigrees Am J Hum Genet 1998 62: 1198–1211
Liang KY, Huang CY, Beaty TH . A unified sampling approach for multipoint analysis of qualitative and quantitative traits in sibs Am J Hum Genet 2000 66: 1631–1641
Pratt SC, Daly M, Kruglyak L . Exact multipoint quantitative-trait linkage analysis in pedigrees by variance components Am J Hum Genet 2000 66: 1153–1157
Abecasis GR, Cardon LR, Cookson WOC . A general test of association for quantitative traits in nuclear families Am J Hum Genet 2000 66: 279–292
Fulker DW, Cherny SS, Sham PC, Hewitt JK . Combined linkage and association sib-pair analysis for quantitative traits Am J Hum Genet 1999 64: 259–267
Sham PC, Cherny SS, Purcell S, Hewitt JK . Power of linkage versus association analysis of quantitative traits, by use of variance-components models, for sibship data Am J Hum Genet 2000 66: 1616–1630
Zhao J, Li W, Xiong M . Population based linkage disequilibrium mapping of QTL: an application to simulated data in an isolated population Genetic Epidemiology 2001 21 S1: S655–S659
The International SNP Map Working Group. A map of human genome sequence variation containing 1.42 million single nucleotide polymorphisms Nature 2001 409: 928–933
Hartl DL, Clark AG . Principles of Population Genetics 2nd edn Sunderland, MA: Sinauer Associates 1989
Hedrick PW . Gametic disequilibrium measures: proceed with caution Genetics 1987 117: 331–341
Lewontin RC . The interaction of selection and linkage. I. General considerations; heterotic models Genetics 1964 49: 67
Jacquard A . The Genetic Structure of Populations New York: Springer-Verlag 1974
Falconer DS, Mackay TFC . Introduction to Quantitative Genetics 4th edn London: Longman 1996
Graybill FA . Theory and Application of the Linear Model California: Pacific Grove 1976
Cardon LR, Bell J . Association study designs for complex diseases Nature Reviews Genetics 2001 2: 91–99
Risch N, Merikangas K . The future of genetic studies of complex human diseases Science 1996 273: 1516–1517
Amos C, Andrade MD . Genetic linkage methods for quantitative traits Statistical Methods in Medical Research 2001 10: 3–25
Goldgar DE . Multipoint analysis of human quantitative genetic variation Amr J Hum Genet 1990 47: 957–967
Haley CS, Knott SA . A simple regression method for mapping quantitative trait loci in line crosses using flanking markers Heredity 1992 69: 315–324
Jansen RC . Interval mapping of multiple quantitative trait loci Genetics 1993 135: 205–211
Xu SZ, Atchley WR . A random model approach to interval mapping of quantitative trait loci Genetics 1995 141: 1189–1197
Zeng ZB . Precision mapping of quantitative trait loci Genetics 1994 136: 1457–1468
Allison DB, Heo M, Kaplan N, Martin ER . Sibling-based tests of linkage and association for quantitative traits Am J Hum Genet 1999 64: 1754–1764
Göring HHH, Terwillinger JD . Linkage analysis in the presence of error IV: joint pseudomarker analysis of linkage and/or linkage disequilibrium on a mixture of pedigrees and singletons when the mode of inheritance cannot be accurately specified Am J Hum Genet 2000 66: 1310–1327
Acknowledgements
We thank two reviewers, Section Editors, and Dr Gert-Jan B von Ommen for their helpful comments to improve the article. Dr Joanna Floros read the manuscript and provided helpful suggestions in improving the grammar. R Fan was supported partially by a research fellowship from Alexander von Humboldt Foundation, Germany, and an International Research Travel Assistance Grant of the Texas A&M University. M Xiong was supported by NIH grant R01-GM56515, and MH59518.
Author information
Authors and Affiliations
Corresponding author
Appendices
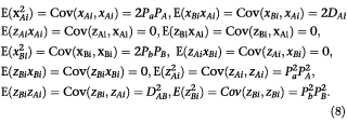
Appendix A
Suppose that the markers A and B are in Hardy–Weinberg equilibrium. Then ExAi=ExBi=EzAi=EzBi=0. We first can show the following equations

In the following, we are going to show the first two of the above equations. The other equations can be shown by similar calculations. Actually, we have

When the sample size n is large enough, the large number law leads to


This implies that the coefficients are approximately given by
, and

If the marker A and marker B are in linkage equilibrium, i.e., DAB=0, then
and
. This will lead to equations in (2).
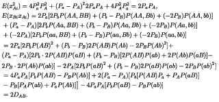
Appendix B
Notice that we have the following variance-covariance equations from model (1)

The elements of the variance-covariance matrix on the left-hand side of the above equation are given in equations (8). For the elements on the right-hand side, we can show that

In the following, we are going to show the first one of the above equations. The rest can be shown in the same way.
For the first equation, we have

Plugging equations (8) and (11) into equation (10), we have

Hence, one may get equations (4) and (5).
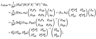
Appendix C
Using equations (4), (5), (6) and (9), the non-centrality parameter is

which is equal to that in (7) by using equations
.
Rights and permissions
About this article
Cite this article
Fan, R., Xiong, M. High resolution mapping of quantitative trait loci by linkage disequilibrium analysis. Eur J Hum Genet 10, 607–615 (2002). https://doi.org/10.1038/sj.ejhg.5200843
Received:
Revised:
Accepted:
Published:
Issue date:
DOI: https://doi.org/10.1038/sj.ejhg.5200843
Keywords
This article is cited by
-
Statistical distributions of test statistics used for quantitative trait association mapping in structured populations
Genetics Selection Evolution (2012)
-
Pedigree linkage disequilibrium mapping of quantitative trait loci
European Journal of Human Genetics (2005)
-
Combined high resolution linkage and association mapping of quantitative trait loci
European Journal of Human Genetics (2003)


