Abstract
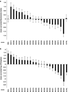
Variation in responses to pathogens is influenced by exposure history, environment and the host's genetic status. We recently demonstrated that human leukocyte antigen class II allelic differences are a major determinant of the severity of invasive group A streptococcal (GAS) sepsis in humans. While in-depth controlled molecular studies on populations of genetically well-characterized humans are not feasible, it is now possible to exploit genetically diverse panels of recombinant inbred BXD mice to define genetic and environmental risk factors. Our goal in this study was to standardize the model and identify genetic and nongenetic covariates influencing invasive infection outcomes. Despite having common ancestors, the various BXD strains (n strains=33, n individuals=445) showed marked differences in survival. Mice from all strains developed bacteremia but exhibited considerable differences in disease severity, bacterial dissemination and mortality rates. Bacteremia and survival showed the expected negative correlation. Among nongenetic factors, age ā but not sex or weight ā was a significant predictor of survival (P=0.0005). To minimize nongenetic variability, we limited further analyses to mice aged 40ā120 days and calculated a corrected relative survival index that reflects the number of days an animal survived post-infection normalized to all significant covariates. Genetic background (strain) was the most significant factor determining susceptibility (P⩽0.0001), thus underscoring the strong effect of host genetic variation in determining susceptibility to severe GAS sepsis. This model offers powerful unbiased forward genetics to map specific quantitative trait loci and networks of pathways modulating the severity of GAS sepsis.
This is a preview of subscription content, access via your institution
Access options
Subscribe to this journal
Receive 6 digital issues and online access to articles
$119.00 per year
only $19.83 per issue
Buy this article
- Purchase on SpringerLink
- Instant access to the full article PDF.
USD 39.95
Prices may be subject to local taxes which are calculated during checkout





Similar content being viewed by others
References
Skamene E . Genetic regulation of host resistance to bacterial infection. Rev Infect Dis 1983; 5 (Suppl 4): S823āS832.
Buschman E, Skamene E, Schurr E . Genetics of human susceptibility to infectious diseases: progress and prospects. In: King RA, Rotter JI, Motulsky AG (eds). The Genetic Basis of Common Diseases, 2nd edn. Oxford University Press: New York, USA, 2002, pp 181ā197.
Kotb M . Genetics of susceptibility to infectious diseases. ASM News 2004; 70: 457ā463.
Frodsham AJ, Hill AV . Genetics of infectious diseases. Hum Mol Genet 2004; 13: R187āR194.
Roy MF, Malo D . Genetic regulation of host responses to Salmonella infection in mice. Genes Immun 2002; 3: 381ā393.
Cunningham MW . Pathogenesis of group A streptococcal infections. Clin Microbiol Rev 2000; 13: 470ā511.
Chatellier S, Ihendyane N, Kansal RG, Khambaty F, Basma H, Norrby-Teglund A et al. Genetic relatedness and superantigen expression in group A streptococcus serotype M1 isolates from patients with severe and nonsevere invasive diseases. Infect Immun 2000; 68: 3523ā3534.
Guedez Y, Kotby A, El-Demellawy M, Galal A, Thomson G, Zaher S et al. HLA class II associations with rheumatic heart disease are more evident and consistent among clinically homogeneous patients. Circulation 1999; 99: 2784ā2790.
Kotb M, Norrby-Teglund A, McGeer A, Green K, Low DE . Association of human leukocyte antigen with outcomes of infectious diseases: the streptococcal experience. Scand J Infect Dis 2003; 35: 665ā669.
Kotb M, Norrby-Teglund A, McGeer A, El-Sherbini H, Dorak MT, Khurshid A et al. An immunogenetic and molecular basis for differences in outcomes of invasive group A streptococcal infections. Nat Med 2002; 8: 1398ā1404.
Kotb M . Bacterial pyrogenic exotoxins as superantigens. Clin Microbiol Rev 1995; 8: 411ā426.
Kotb M . Role of superantigens in the pathogenesis of infectious diseases and their sequelae. Curr Opin Infect Dis 1992; 5: 364.
Proft T, Sriskandan S, Yang L, Fraser JD . Superantigens and streptococcal toxic shock syndrome. Emerg Infect Dis 2003; 9: 1211ā1218.
Norrby-Teglund A, Thulin P, Gan BS, Kotb M, McGeer A, Andersson J et al. Evidence for superantigen involvement in severe group a streptococcal tissue infections. J Infect Dis 2001; 184: 853ā860.
Goldmann O, Chhatwal GS, Medina E . Immune mechanisms underlying host susceptibility to infection with group A streptococci. J Infect Dis 2003; 187: 854ā861.
Goldmann O, Chhatwal GS, Medina E . Role of host genetic factors in susceptibility to group A streptococcal infections. Indian J Med Res 2004; 119 (Suppl): 141ā143.
Medina E, Goldmann O, Rohde M, Lengeling A, Chhatwal GS . Genetic control of susceptibility to group A streptococcal infection in mice. J Infect Dis 2001; 184: 846ā852.
Nooh MM, El-Gengehi N, Kansal R, David C, Kotb M . HLA transgenic mice provide evidence for a direct and dominant role of HLA Class II variation in modulating the severity of streptococcal sepsis. J Immunol 2007; 178: 3076ā3083.
Bailey DW . Recombinant-inbred strains. An aid to finding identity, linkage, and function of histocompatibility and other genes. Transplantation 1971; 11: 325ā327.
Taylor B . Recombinant inbred strains: use in gene mapping. In: Morse III HC (ed). Origins of Inbred Mice, Ist edn. Academic Press: NY, 1978, pp 423ā438.
Chesler EJ, Lu L, Shou S, Qu Y, Gu J, Wang J et al. Complex trait analysis of gene expression uncovers polygenic and pleiotropic networks that modulate nervous system function. Nat Genet 2005; 37: 233ā242.
Peirce JL, Lu L, Gu J, Silver LM, Williams RW . A new set of BXD recombinant inbred lines from advanced intercross populations in mice. BMC Genet 2004; 5: 7.
Melvold RW, Jokinen DM, Miller SD, Dal Canto MC, Lipton HL . Identification of a locus on mouse chromosome 3 involved in differential susceptibility to Theiler's murine encephalomyelitis virus-induced demyelinating disease. J Virol 1990; 64: 686ā690.
Benjamin Jr WH, Turnbough Jr CL, Posey BS, Briles DE . Salmonella typhimurium virulence genes necessary to exploit the Itys/s genotype of the mouse. Infect Immun 1986; 51: 872ā878.
Watters JW, Dewar K, Lehoczky J, Boyartchuk V, Dietrich WF . Kif1C, a kinesin-like motor protein, mediates mouse macrophage resistance to anthrax lethal factor. Curr Biol 2001; 11: 1503ā1511.
Anthony LS, Ghadirian E, Nestel FP, Kongshavn PA . The requirement for gamma interferon in resistance of mice to experimental tularemia. Microb Pathog 1989; 7: 421ā428.
Mahler M, Janke C, Wagner S, Hedrich HJ . Differential susceptibility of inbred mouse strains to Helicobacter pylori infection. Scand J Gastroenterol 2002; 37: 267ā278.
Boyartchuk VL, Broman KW, Mosher RE, D'Orazio SE, Starnbach MN, Dietrich WF . Multigenic control of Listeria monocytogenes susceptibility in mice. Nat Genet 2001; 27: 259ā260.
Plant J, Glynn AA . Genetics of resistance to infection with Salmonella typhimurium in mice. J Infect Dis 1976; 133: 72ā78.
Waterston RH, Lindblad-Toh K, Birney E, Rogers J, Abril JF, Agarwal P et al. Initial sequencing and comparative analysis of the mouse genome. Nature 2002; 420: 520ā562.
Williams RW . Expression genetics and the phenotype revolution. Mamm Genome 2006; 17: 496ā502.
Muller MP, Low DE, Green KA, Simor AE, Loeb M, Gregson D et al. Clinical and epidemiologic features of group a streptococcal pneumonia in Ontario, Canada. Arch Intern Med 2003; 163: 467ā472.
Basma H, Norrby-Teglund A, Guedez Y, McGeer A, Low DE, El-Ahmedy O et al. Risk factors in the pathogenesis of invasive group A streptococcal infections: role of protective humoral immunity. Infect Immun 1999; 67: 1871ā1877.
Davies HD, McGeer A, Schwartz B, Green K, Cann D, Simor AE et al. Invasive group A streptococcal infections in Ontario, Canada, Ontario Group A Streptococcal Study Group. N Engl J Med 1996; 335: 547ā554.
Kaul R, McGeer A, Low DE, Green K, Schwartz B . Population-based surveillance for group A streptococcal necrotizing fasciitis: clinical features, prognostic indicators, and microbiologic analysis of seventy-seven cases. Ontario Group A Streptococcal Study. Am J Med 1997; 103: 18ā24.
Hoge CW, Schwartz B, Talkington DF, Breiman RF, MacNeill EM, Englender SJ . The changing epidemiology of invasive group A streptococcal infections and the emergence of streptococcal toxic shock-like syndrome. A retrospective population-based study. JAMA 1993; 269: 384ā389.
Johnson DR, Wotton JT, Shet A, Kaplan EL . A comparison of group A streptococci from invasive and uncomplicated infections: are virulent clones responsible for serious streptococcal infections? J Infect Dis 2002; 185: 1586ā1595.
Norrby-Teglund A, Nepom GT, Kotb M . Differential presentation of group A streptococcal superantigens by HLA class II DQ and DR alleles. Eur J Immunol 2002; 32: 2570ā2577.
Norrby-Teglund A, McGeer A, Dorak M, Low D, Kotb M . Genetic variation affecting in vivo cytokine responses and severity of invasive streptococcal infections. Hum Immunol 2002; 63 (Suppl 10): S32.
Virtaneva K, Graham MR, Porcella SF, Hoe NP, Su H, Graviss EA et al. Group A Streptococcus gene expression in humans and cynomolgus macaques with acute pharyngitis. Infect Immun 2003; 71: 2199ā2207.
Virtaneva K, Porcella SF, Graham MR, Ireland RM, Johnson CA, Ricklefs SM et al. Longitudinal analysis of the group A Streptococcus transcriptome in experimental pharyngitis in cynomolgus macaques. Proc Natl Acad Sci USA 2005; 102: 9014ā9019.
Jackson IJ . Mouse genomics: making sense of the sequence. Curr Biol 2001; 11: R311āR314.
Miethke T, Wahl C, Heeg K, Echtenacher B, Krammer PH, Wagner H . T cell-mediated lethal shock triggered in mice by the superantigen staphylococcal enterotoxin B: critical role of tumor necrosis factor. J Exp Med 1992; 175: 91ā98.
Welcher BC, Carra JH, DaSilva L, Hanson J, David CS, Aman MJ et al. Lethal shock induced by streptococcal pyrogenic exotoxin A in mice transgenic for human leukocyte antigen-DQ8 and human CD4 receptors: implications for development of vaccines and therapeutics. J Infect Dis 2002; 186: 501ā510.
Sun H, Ringdahl U, Homeister JW, Fay WP, Engleberg NC, Yang AY et al. Plasminogen is a critical host pathogenicity factor for group A streptococcal infection. Science 2004; 305: 1283ā1286.
Cole JN, McArthur JD, McKay FC, Sanderson-Smith ML, Cork AJ, Ranson M et al. Trigger for group A streptococcal M1T1 invasive disease. FASEB J 2006; 20: 1745ā1747.
Churchill GA, Airey DC, Allayee H, Angel JM, Attie AD, Beatty J et al. The Collaborative Cross, a community resource for the genetic analysis of complex traits. Nat Genet 2004; 36: 1133ā1137.
Vogel G . Scientists dream of 1001 complex mice. Science 2003; 301: 456ā458.
Valdar W, Flint J, Mott R . Simulating the collaborative cross: power of quantitative trait loci detection and mapping resolution in large sets of recombinant inbred strains of mice. Genetics 2006; 172: 1783ā1797 (E-pub 2005, 15 December).
Ouburg S, Bart ACJ, Klinkenberg-Knol EC, Mulder CJ, Salvador Pena A, Morre SA . A candidate gene approach of immune mediators effecting the susceptibility to and severity of upper gastrointestinal tract diseases in relation to Helicobacter pylori and Epstein-Barr virus infections. Eur J Gastroenterol Hepatol 2005; 17: 1213ā1224.
Roy MF, Riendeau N, Loredo-Osti JC, Malo D . Complexity in the host response to Salmonella Typhimurium infection in AcB and BcA recombinant congenic strains. Genes Immun 2006; 7: 655ā666.
Caron J, Loredo-Osti JC, Laroche L, Skamene E, Morgan K, Malo D . Identification of genetic loci controlling bacterial clearance in experimental Salmonella enteritidis infection: an unexpected role of Nramp1 (Slc11a1) in the persistence of infection in mice. Genes Immun 2002; 3: 196ā204.
Mitsos LM, Cardon LR, Ryan L, LaCourse R, North RJ, Gros P . Susceptibility to tuberculosis: a locus on mouse chromosome 19 (Trl-4) regulates Mycobacterium tuberculosis replication in the lungs. Proc Natl Acad Sci USA 2003; 100: 6610ā6615.
Mitsos LM, Cardon LR, Fortin A, Ryan L, LaCourse R, North RJ et al. Genetic control of susceptibility to infection with Mycobacterium tuberculosis in mice. Genes Immun 2000; 1: 467ā477.
Hormaeche CE . Genetics of natural resistance to salmonellae in mice. Immunology 1979; 37: 319ā327.
Hormaeche CE . Natural resistance to Salmonella typhimurium in different inbred mouse strains. Immunology 1979; 37: 311ā318.
Boyartchuk V, Dietrich W . Genetic dissection of host immune response. Genes Immun 2002; 3: 119ā122.
Williams RW, Gu J, Qi S, Lu L . The genetic structure of recombinant inbred mice: high-resolution consensus maps for complex trait analysis. Genome Biol 2001; 2: 1ā18 (RESEARCH0046).
Taylor BA, Wnek C, Kotlus BS, Roemer N, MacTaggart T, Phillips SJ . Genotyping new BXD recombinant inbred mouse strains and comparison of BXD and consensus maps. Mamm Genome 1999; 10: 335ā348.
Kansal RG, McGeer A, Low DE, Norrby-Teglund A, Kotb M . Inverse relation between disease severity and expression of the streptococcal cysteine protease, SpeB, among clonal M1T1 isolates recovered from invasive group A streptococcal infection cases. Infect Immun 2000; 68: 6362ā6369.
Aziz RK, Edwards RA, Taylor WW, Low DE, McGeer A, Kotb M . Mosaic prophages with horizontally acquired genes account for the emergence and diversification of the globally disseminated M1T1 clone of Streptococcus pyogenes. J Bacteriol 2005; 187: 3311ā3318.
Wang J, Williams RW, Manly KF . WebQTL: web-based complex trait analysis. Neuroinformatics 2003; 1: 299ā308.
Acknowledgements
We are indebted to the team managing the animal facilities in the VA Medical Center and UTSHC, notably Dr Timothy Mandrell, Alfred Pointer, Rebecca Manns and colleagues.
This work was supported by grant AI40198-06 from NIH, National Institute of Allergy and Infectious Diseases (NIAID to MK), by the Research and Development Office, Medical Research Service, Department of Veterans Affairs (Merit award to MK) and the US Army Medical Research Acquisition Activity (W81XWH-05-1-0227 to MK).
Development and maintenance of the BXD Colony is partly supported by a Human Brain Project funded jointly by the NIMH, NIDA and NIAAA (P20-DA 21131), NCI MMHCC (U01CA105417), and the Biomedical Informatics Research Network (BIRN), NCRR (U01NR 105417).
Author information
Authors and Affiliations
Corresponding author
Rights and permissions
About this article
Cite this article
Aziz, R., Kansal, R., Abdeltawab, N. et al. Susceptibility to severe streptococcal sepsis: use of a large set of isogenic mouse lines to study genetic and environmental factors. Genes Immun 8, 404ā415 (2007). https://doi.org/10.1038/sj.gene.6364402
Received:
Revised:
Accepted:
Published:
Issue date:
DOI: https://doi.org/10.1038/sj.gene.6364402
Keywords
This article is cited by
-
Different Virulence Capabilities and ompA Expressions in ST2 and ST513 of Multidrug-Resistant Acinetobacter baumannii
Current Microbiology (2019)
-
Mapping of genetic loci that modulate differential colonization by Escherichia coli O157:H7 TUV86-2 in advanced recombinant inbred BXD mice
BMC Genomics (2015)
-
Streptokokkenmediastinitis nach Thyreoidektomie
Der Chirurg (2015)


