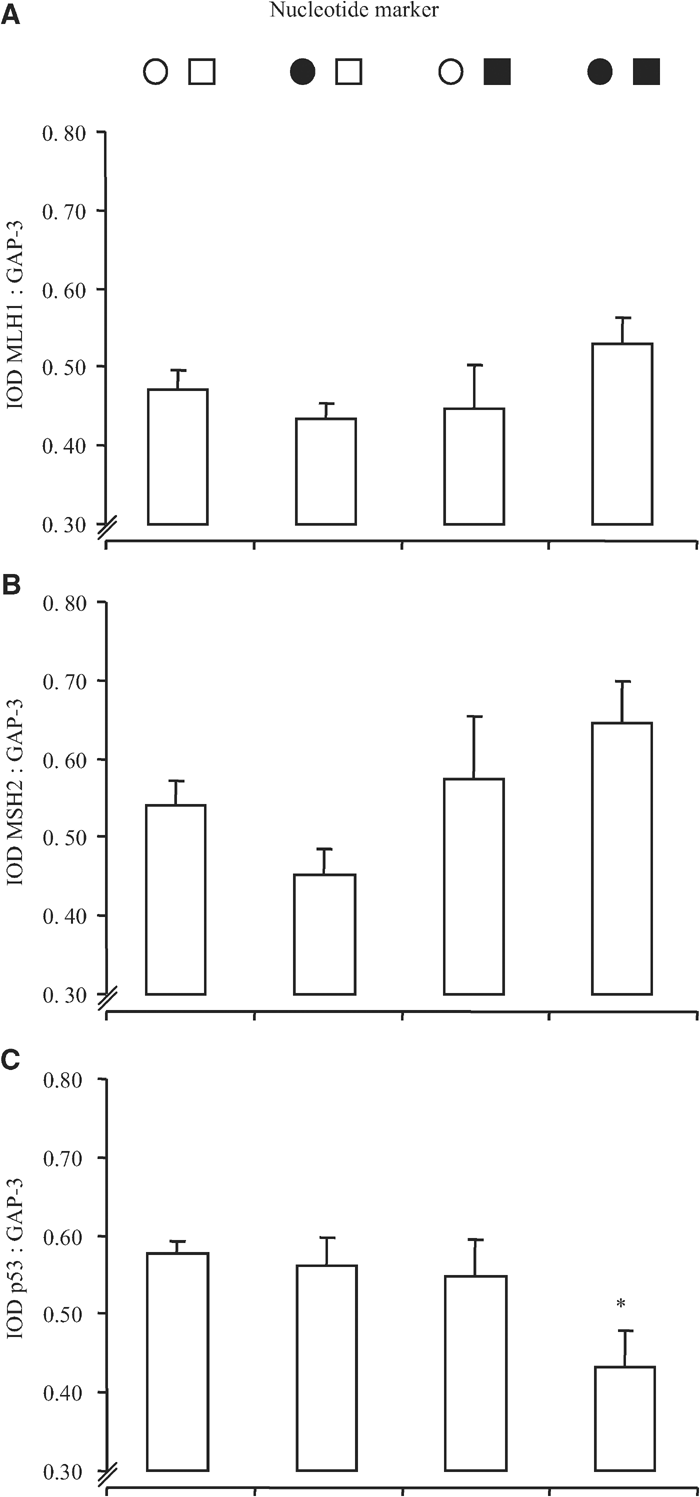
Figure 4

Gene transcription with nucleotide markers. Transcription of MLH1 (A), MSH2 (B) and p53 (C) in MSI cancers per nucleotide marker. Bars represent the mean values+s.e.m. IOD, total integrated optical density of Gene : GAP-3; each value represents the overall mean value for all grouped samples, derived from the mean of two separate PCR analyses per sample; see ‘Materials and methods’. Key to symbols: circles, mono-nucleotide markers; squares, di-nucleotide markers; open symbols, normal (non-mutated marker); closed symbols, mutated marker. *P<0.01 vs ○□, one-way ANOVA with Bonferroni's correction. There was an inverse correlation between mutated markers and p53 transcription, P<0.02, Pearson's bivariate correlation.