Figure 1
From: Genetics of α-amanitin resistance in a natural population of Drosophila melanogaster

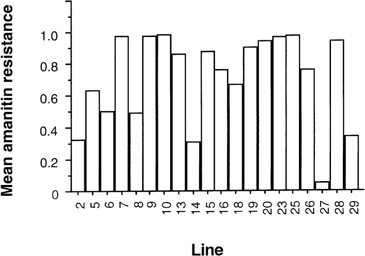
Line means for α-amanitin resistance among 20 isogenic chromosome III lines of D. melanogaster.
From: Genetics of α-amanitin resistance in a natural population of Drosophila melanogaster

Line means for α-amanitin resistance among 20 isogenic chromosome III lines of D. melanogaster.