Abstract
OBJECTIVE:
We sought to identify changes in platelet (PLT) counts over time, and to evaluate the patterns of thrombocytopenia and thrombocytosis in hospitalized infants 23.8 weeks to term gestation.
STUDY DESIGN:
Neonates were divided into four gestational age groups and their PLT counts were retrospectively compared for prevalence of thrombocytopenia, thrombocytosis, and associated conditions.
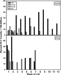
RESULTS:
Postconceptional age, postnatal age, and sepsis (among other factors) affected PLT counts. When counts from noninfected appropriately grown infants were evaluated, the risk of thrombocytopenia and thrombocytosis were highest in the most preterm infants, and these risks changed with corrected gestational age. PLT counts increased weekly over the first 4 weeks of life for all but the most preterm infants.
CONCLUSIONS:
These data characterize the incidence of thrombocytopenia and thrombocytosis across a wide range of gestational ages and show that, even in noninfected neonates, these conditions are common, and risk decreases with increasing maturity. The age-related changes in PLT patterns may reflect maturation of platelet regulation.
This is a preview of subscription content, access via your institution
Access options
Subscribe to this journal
Receive 12 print issues and online access
$259.00 per year
only $21.58 per issue
Buy this article
- Purchase on SpringerLink
- Instant access to the full article PDF.
USD 39.95
Prices may be subject to local taxes which are calculated during checkout




Similar content being viewed by others
References
Allen Graeve JL, de Alarcon PA . Megakaryocytopoiesis in the human fetus. Arch Dis Child 1989;64:481–484.
de Alarcon PA, Graeve JL . Analysis of megakaryocyte ploidy in fetal bone marrow biopsies using a new adaptation of the feulgen technique to measure DNA content and estimate megakaryocyte ploidy from biopsy specimens. Pediatr Res 1996;39:166–170.
Ma DC, Sun YH, Chang KZ, Zuo W . Developmental change of megakaryocyte maturation and DNA ploidy in human fetus. Eur J Haematol 1996;57:121–127.
Sola MC, Del Vecchio A, Rimsza LM . Evaluation and treatment of thrombocytopenia in the neonatal intensive care unit. Clin Perinatol 2000;27:655–679.
Sola MC . Fetal Megakaryocytopoiesis. Hematologic Problems of the Neonate. Philadelphia: W.B. Saunders Co.; 2000. p. 43–60.
Deutsch VR, Olson TA, Nagler A, Slavin S, Levine RF, Eldor A . The response of cord blood megakaryocyte progenitors to IL-3, IL-6 and aplastic canine serum varies with gestational age. Br J Haematol 1995;89:8–16.
Roberts IA, Murray NA . Thrombocytopenia in the newborn. Curr Opin Pediatr 2003;15:17–23.
Andrew M, Kelton J . Neonatal thrombocytopenia. Clin Perinatol 1984;11:359–391.
Guida JD, Kunig AM, Leef KH, McKenzie S, Paul DA . Platelet count and sepsis in very low birth weight neonates: is there an organism-specific response? Pediatrics 2003;111:1411–1415.
Oren H, Irken G, Oren B, Olgun N, Ozkan H . Assessment of clinical impact and predisposing factors for neonatal thrombocytopenia. Indian J Pediatr 1994;61:551–558.
Beiner ME, Simchen MJ, Sivan E, Chetrit A, Kuint J, Schiff E . Risk factors for neonatal thrombocytopenia in preterm infants. Am J Perinatol 2003;20:49–54.
Arnett C . Thrombocytopenia in the newborn. Neonatal Netw 1998;17:27–33.
Oelberg DG, Temple DM, Haskins KS, Bigelow RH, Adcock EW . Intracranial hemorrhage in term or near-term newborns with persistent pulmonary hypertension. Clin Pediatr (Phila) 1988;27:14–17.
Sutor AH . Thrombocytosis in childhood. Semin Thromb Hemost 1995;21:330–339.
Heng JT, Tan AM . Thrombocytosis in childhood. Singapore Med J 1998;39:485–487.
Beutler E, Williams WJ . Williams Hematology. New York: McGraw-Hill Health Professions Division; 2001; 1941 bill.
Sanyal SK, Yules RB, Eidelman AI, Talner NW . Thrombocytosis, central nervous system disease, and myocardial infarction pattern in infancy. Pediatrics 1966;38:629–636.
Burstein Y, Rausen AR, Peterson CM . Duration of thrombocytosis in infants of polydrug (including methadone) users. J Pediatr 1982;100:506.
Walters MC, Abelson HT . Interpretation of the complete blood count. Pediatr Clin North Am 1996;43:599–622.
Juul SE, Haynes JW, McPherson RJ . Evaluation of neutropenia and neutrophilia in hospitalized preterm infants. J Perinatol 2004;24:150–157.
Juul SE, Zerzan JC, Strandjord TP, Woodrum DE . Zinc protoporphyrin/heme as an indicator of iron status in NICU patients. J Pediatr 2003;142:273–278.
Ballin A, Koren G, Kohelet D, et al. Reduction of platelet counts induced by mechanical ventilation in newborn infants. J Pediatr 1987;111:445–449.
Mehta P, Vasa R, Neumann L, Karpatkin M . Thrombocytopenia in the high-risk infant. J Pediatr 1980;97:791–794.
Segall ML, Goetzman BW, Schick JB . Thrombocytopenia and pulmonary hypertension in the perinatal aspiration syndromes. J Pediatr 1980;96:727–730.
Schwartz DS, Gettner PA, Konstantino MM, et al. Umbilical venous catheterization and the risk of portal vein thrombosis. J Pediatr 1997;131:760–762.
Kim JH, Lee YS, Kim SH, Lee SK, Lim MK, Kim HS . Does umbilical vein catheterization lead to portal venous thrombosis? Prospective US evaluation in 100 neonates. Radiology 2001;219:645–650.
Hentschel R, Sutor AH . [Catheter-related thrombosis and its prevention in infancy]. Hamostaseologie 2002;22:167–173.
Koenig JM, Christensen RD . Incidence, neutrophil kinetics, and natural history of neonatal neutropenia associated with maternal hypertension. N Engl J Med 1989;321:557–562.
Murray NA . Evaluation and treatment of thrombocytopenia in the neonatal intensive care unit. Acta Paediatr 2002;91(Suppl):74–81.
Verbeek W, Faulhaber M, Griesinger F, Brittinger G . Measurement of thrombopoietic levels: clinical and biological relationships. Curr Opin Hematol 2000;7:143–149.
Peterec SM, Brennan SA, Rinder HM, Wnek JL, Beardsley DS . Reticulated platelet values in normal and thrombocytopenic neonates. J Pediatr 1996;129:269–274.
Joutsi-Korhonen L, Sainio S, Riikonen S, Javela K, Teramo K, Kekomaki R . Detection of reticulated platelets: estimating the degree of fluorescence of platelets stained with thiazole orange. Eur J Haematol 2000;65:66–71.
Sola MC, Calhoun DA, Hutson AD, Christensen RD . Plasma thrombopoietin concentrations in thrombocytopenic and non- thrombocytopenic patients in a neonatal intensive care unit. Br J Haematol 1999;104:90–92.
van den Oudenrijn S, Bruin M, Folman CC, Bussel J, de Haas M, von dem Borne AE . Three parameters, plasma thrombopoietin levels, plasma glycocalicin levels and megakaryocyte culture, distinguish between different causes of congenital thrombocytopenia. Br J Haematol 2002;117:390–398.
Kilpi T, Anttila M, Kallio MJ, Peltola H . Thrombocytosis and thrombocytopenia in childhood bacterial meningitis. Pediatr Infect Dis J 1992;11:456–460.
Wolach B, Morag H, Drucker M, Sadan N . Thrombocytosis after pneumonia with empyema and other bacterial infections in children. Pediatr Infect Dis J 1990;9:718–721.
Acknowledgements
The authors thank Drs. Jamie Haynes, Eric Demers, David Anderson, Susan Miller, and David Woodrum for helpful contributions.
Author information
Authors and Affiliations
Additional information
Statistical consultant: Kristy Seidel, Children's Hospital Medical Center, Seattle, WA.
Funding support: This study was supported by NIH RR00082.
Rights and permissions
About this article
Cite this article
McPherson, R., Juul, S. Patterns of Thrombocytosis and Thrombocytopenia in Hospitalized Neonates. J Perinatol 25, 166–172 (2005). https://doi.org/10.1038/sj.jp.7211230
Published:
Issue date:
DOI: https://doi.org/10.1038/sj.jp.7211230
This article is cited by
-
The effects of maternal hypertension on the early neonatal platelet count
Journal of Perinatology (2022)
-
Platelet reference ranges for neonates, defined using data from over 47 000 patients in a multihospital healthcare system
Journal of Perinatology (2009)
-
Thrombocytopenia among extremely low birth weight neonates: data from a multihospital healthcare system
Journal of Perinatology (2006)


