Abstract
Objective:
Pregnancy is a unique situation characterized by insulin resistance. The role of adiponectin, an insulin-sensitizing hormone, has not been completely clarified during pregnancy. The aim of this cross-sectional study was to evaluate adiponectin levels during pregnancy and postpartum.
Study design:
Adiponectin and leptin levels were tested in 80 pregnant women, 20 in each trimester (mean gestational age 10.5±1.9; 19.3±4.9; 39.3±0.8 weeks,) as well as 4 days postpartum.
Results:
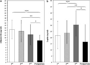
Adiponectin levels during first (13.3±3.6 μg/ml), second (12.6±4.4 μg/ml) and third trimester (11.2±3.7 μg/ml) did not differ and were significantly higher than postpartum levels (8.8±2.1 μg/ml; P<0.0001, P<0.004 and P<0.02, respectively).
Conclusion:
Despite increased insulin resistance during pregnancy, no significant alterations in adiponectin levels were observed. This may imply that the regulation of adiponectin during gestation is altered. The elevated gestational adiponectin levels are consistent with increased ‘adiponectin resistance’ during pregnancy.
This is a preview of subscription content, access via your institution
Access options
Subscribe to this journal
Receive 12 print issues and online access
$259.00 per year
only $21.58 per issue
Buy this article
- Purchase on SpringerLink
- Instant access to the full article PDF.
USD 39.95
Prices may be subject to local taxes which are calculated during checkout

Similar content being viewed by others
References
Catalano PM, Tyzbir ED, Roman NM, Amini SB, Sims EA . Longitudinal changes in insulin release and insulin resistance in nonobese pregnant women. Am J Obstet Gynecol 1991; 165: 1667–1672.
Buchanan TA, Metzger BE, Freinkel N, Bergman RN . Insulin sensitivity and B-cell responsiveness to glucose during late pregnancy in lean and moderately obese women with normal glucose tolerance or mild gestational diabetes. Am J Obstet Gynecol 1990; 162: 1008–1014.
Ryan EA, O'Sullivan MJ, Skyler JS . Insulin action during pregnancy. Studies with the euglycemic clamp technique. Diabetes 1985; 34: 380–389.
Ryan EA, Enns L . Role of gestational hormones in the induction of insulin resistance. J Clin Endocrinol Metab 1988; 67: 341–347.
Kirwan JP, Hauguel-De Mouzon S, Lepercq J et al. TNF-alpha is a predictor of insulin resistance in human pregnancy. Diabetes 2002; 51: 2207–2213.
Cseh K, Baranyi E, Melczer Z, Kaszas E, Palik E, Winkler G . Plasma adiponectin and pregnancy-induced insulin resistance. Diabetes Care 2004; 27: 274–275.
Worda C, Leipold H, Gruber C, Kautzky-Willer A, Knofler M, Bancher-Todesca D . Decreased plasma adiponectin concentrations in women with gestational diabetes mellitus. Am J Obstet Gynecol 2004; 191: 2120–2124.
Ranheim T, Haugen F, Staff AC, Braekke K, Harsem NK, Drevon CA . Adiponectin is reduced in gestational diabetes mellitus in normal weight women. Acta Obstet Gynecol Scand 2004; 83: 341–347.
Retnakaran R, Hanley AJ, Raif N, Connelly PW, Sermer M, Zinman B . Reduced adiponectin concentration in women with gestational diabetes: a potential factor in progression to type 2 diabetes. Diabetes Care 2004; 27: 799–800.
Mazaki-Tovi S, Kanety H, Sivan E . Adiponectin and human pregnancy. Curr Diab Rep 2005; 5: 278–281.
Kajantie E, Kaaja R, Ylikorkala O, Andersson S, Laivuori H . Adiponectin Concentrations in Maternal Serum: Elevated in Preeclampsia But Unrelated to Insulin Sensitivity. J Soc Gynecol Investig 2005; 12: 433–439.
Haugen F, Ranheim T, Harsem NK, Lips E, Staff AC, Drevon CA . Increased plasma levels of adipokines in preeclampsia: relationship to placenta and adipose tissue gene expression. Am J Physiol Endocrinol Metab 2005; 290: E326–E333.
Ladyman SR, Grattan DR . Region-specific reduction in leptin-induced phosphorylation of signal transducer and activator of transcription-3 (STAT3) in the rat hypothalamus is associated with leptin resistance during pregnancy. Endocrinology 2004; 145: 3704–3711.
Mukherjea R, Castonguay TW, Douglass LW, Moser-Veillon P . Elevated leptin concentrations in pregnancy and lactation: possible role as a modulator of substrate utilization. Life Sci 1999; 65: 1183–1193.
Chen DQ, Shi Z, Dong MY et al. Relationship between serum resistin level and preeclampsia]. Zhejiang Da Xue Xue Bao Yi Xue Ban 2005; 34: 503–505, 528.
Lindsay RS, Funahashi T, Hanson RL et al. Adiponectin and development of type 2 diabetes in the Pima Indian population. Lancet 2002; 360: 57–58.
Williams MA, Qiu C, Muy-Rivera M, Vadachkoria S, Song T, Luthy DA . Plasma adiponectin concentrations in early pregnancy and subsequent risk of gestational diabetes mellitus. J Clin Endocrinol Metab 2004; 89: 2306–2311.
Lopez-Bermejo A, Fernandez-Real JM, Garrido E et al. Maternal soluble tumour necrosis factor receptor type 2 (sTNFR2) and adiponectin are both related to blood pressure during gestation and infant's birthweight. Clin Endocrinol (Oxford) 2004; 61: 544–552.
Combs TP, Berg AH, Rajala MW et al. Sexual differentiation, pregnancy, calorie restriction, and aging affect the adipocyte-specific secretory protein adiponectin. Diabetes 2003; 52: 268–276.
Gavrila A, Chan JL, Yiannakouris N et al. Serum adiponectin levels are inversely associated with overall and central fat distribution but are not directly regulated by acute fasting or leptin administration in humans: cross-sectional and interventional studies. J Clin Endocrinol Metab 2003; 88: 4823–4831.
Kinalski M, Telejko B, Kuzmicki M, Kretowski A, Kinalska I . Tumor necrosis factor alpha system and plasma adiponectin concentration in women with gestational diabetes. Horm Metab Res 2005; 37: 450–454.
Retnakaran R, Hanley AJ, Raif N et al. Adiponectin and beta cell dysfunction in gestational diabetes: pathophysiological implications. Diabetologia 2005; 48: 993–1001.
Arita Y, Kihara S, Ouchi N et al. Paradoxical decrease of an adipose-specific protein, adiponectin, in obesity. Biochem Biophys Res Commun 1999; 257: 79–83.
Sivan E, Mazaki-Tovi S, Pariente C et al. Adiponectin in human cord blood: relation to fetal birth weight and gender. J Clin Endocrinol Metab 2003; 88: 5656–5660.
Kadowaki T, Yamauchi T . Adiponectin and adiponectin receptors. Endocr Rev 2005; 26: 439–451.
Lappas M, Yee K, Permezel M, Rice GE . Release and regulation of leptin, resistin and adiponectin from human placenta, fetal membranes, and maternal adipose tissue and skeletal muscle from normal and gestational diabetes mellitus-complicated pregnancies. J Endocrinol 2005; 186: 457–465.
Meller M, Qiu C, Kuske BT, Abetew DF, Muy-Rivera M, Williams MA . Adipocytokine expression in placentas from pre-eclamptic and chronic hypertensive patients. Gynecol Endocrinol 2006; 22: 267–273.
Haugen F, Ranheim T, Harsem NK, Lips E, Staff AC, Drevon CA . Increased plasma levels of adipokines in preeclampsia: relationship to placenta and adipose tissue gene expression. Am J Physiol Endocrinol Metab 2006; 290: E326–E333.
Acknowledgements
We thank the Moshe Fradis Foundation for education and scientific research for supporting this study. This study was supported by Moshe Fradis Foundation for education and scientific research.
Author information
Authors and Affiliations
Corresponding author
Rights and permissions
About this article
Cite this article
Mazaki-Tovi, S., Kanety, H., Pariente, C. et al. Maternal serum adiponectin levels during human pregnancy. J Perinatol 27, 77–81 (2007). https://doi.org/10.1038/sj.jp.7211639
Received:
Revised:
Accepted:
Published:
Issue date:
DOI: https://doi.org/10.1038/sj.jp.7211639
Keywords
This article is cited by
-
GDM-complicated pregnancies: focus on adipokines
Molecular Biology Reports (2021)
-
Maternal proteomic profiling reveals alterations in lipid metabolism in late-onset fetal growth restriction
Scientific Reports (2020)
-
Maternal circulating levels of Adipocytokines and insulin resistance as predictors of gestational diabetes mellitus: preliminary findings of a longitudinal descriptive study
Journal of Diabetes & Metabolic Disorders (2020)
-
Adiponectin levels in maternal serum and umbilical cord blood at birth by mode of delivery: relationship to anthropometric measurements and fetal sex
BMC Pregnancy and Childbirth (2019)
-
Disparity in fetal growth between twin and singleton gestation: the role of adipokines
Journal of Perinatology (2018)


