Abstract
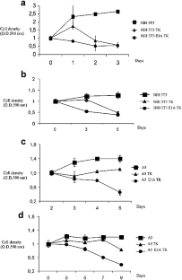
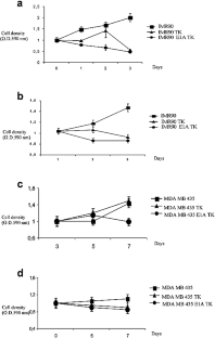
Cancer gene therapy based on the use of suicide genes, such as the thymidine kinase gene, is not producing satisfactory results. Several approaches have been delineated to enhance the therapeutic responses, including augmentation of the bystander effect, the combination of the herpes simplex virus thymidine kinase-ganciclovir (HSVTK-GCV) system into replication competent adenoviruses and others. Moreover, because usually less than 20% of human malignant cells are in S-phase, the HSVTK-GCV system is not as efficient as expected. To increase the cytotoxic effects of the HSVTK-GCV system, we hypothesized that concomitant expression of E1a protein, which drives cells to proliferation and S-phase, could increase the effects of the HSVTK-GCV system. Several retroviruses were constructed carrying bicistronic sequences of TK and E1a 12S genes under the control of the CMV promoter. The constructions were tested in murine (NIH-3T3, MSC11A5) and human cells (IMR90, HeLa, MDA-MB435). A clear increase of the HSVTK-GCV system killing effect in nonconfluent cells was observed in the cells studied, especially in NIH-3T3, MSC11A5, IMR90, and MDA-MB435 expressing cells. In confluence, the NIH3T3 and IMR90 E1a-TK-expressing cells were also very sensitive and most malignant E1a-TK-expressing cells showed an irreversible G2-M cell cycle arrest. Moreover, the concomitant expression of adenovirus E1a and the HSVTK-GCV system increased the sensitivity to anticancer agents such as cisplatin. These results show that adenovirus E1a protein expression clearly enhances the cytotoxic effects of the HSVTK-GCV system and the response to treatment with cisplatin.
This is a preview of subscription content, access via your institution
Access options
Subscribe to this journal
Receive 12 print issues and online access
$259.00 per year
only $21.58 per issue
Buy this article
- Purchase on SpringerLink
- Instant access to the full article PDF.
USD 39.95
Prices may be subject to local taxes which are calculated during checkout






Similar content being viewed by others
References
Springer CJ, Niculescu-Duvaz I . Prodrug-activating systems in suicide gene therapy. J Clin Invest. 2000;105:1161–1167.
Wildner O, Morris JC . Therapy of peritoneal carcinomatosis from colon cancer with oncolytic adenoviruses. J Gene Med. 2000;2:353–360.
Wildner O, Morris JC . The role of the E1B 55 kDa gene product in oncolytic adenoviral vectors expressing herpes simplex virus-TK: assessment of antitumor efficacy and toxicity. Cancer Res. 2000;60:4167–4174.
Alemany R, Balague C, Curiel D . Replicative adenoviruses for cancer therapy. Nat Biotechnol. 2000;7:723–727.
Heise C, Kirn DH . Replication-selective adenoviruses as oncolytic agents. J Clin Invest. 2000;7:847–851.
Bischoff JR, Kirn DH, Williams A, et al. An adenovirus mutant that replicates selectively in p53 deficient human tumor cells. Science. 1996;274:373–376.
lsley DD, Lee SH, Miller WH, Kuchta RD . Acyclic guanosine analogs inhibit DNA polymerases alpha, delta, and epsilon with very different potencies and have unique mechanisms of action. Biochemistry. 1995;34:2504–2510.
Miller WH, Miller RL . Phosphorylation of acyclovir (acycloguanosine) monophosphate by GMP kinase. J Biol Chem. 1980;255:7204–7207.
Frank KB, Chiou JF, Cheng YC . Interaction of herpes simplex virus-induced DNA polymerase with 9-(1,3-dihydroxy-2-propoxymethyl)guanine triphosphate. J Biol Chem. 1984;259:1566–1569.
Halloran PJ, Fenton RG . Irreversible G2-M arrest and cytoskeletal reorganization induced by cytotoxic nucleoside analogues. Cancer Res. 1998;58:3855–3865.
Sarisky RT, Quail MR, Clark PE, et al. Characterization of herpes simplex viruses selected in culture for resistance to penciclovir or acyclovir. J Virol. 2001;75:1761–1769.
Tomicic MT, Thust R, Sobol RW, Kaina B . DNA polymerase beta mediates protection of mammalian cells against ganciclovir-induced cytotoxicity and DNA breakage. Cancer Res. 2001;61:7399–7403.
Touraine RL, Vahanian N, Ramsey WJ, Blaese RM . Enhancement of the herpes simplex virus thymidine kinase/ganciclovir bystander effect and its antitumor efficacy in vivo by pharmacologic manipulation of gap junctions. Hum Gene Ther. 1998;9:2385–2391.
Mesnil M, Yamasaki H . Bystander effect in herpes simplex virus-thymidine kinase/ganciclovir cancer gene therapy: role of gap-junctional intercellular communication. Cancer Res. 2000;60:3989–3999.
Carrio M, Mazo A, Lopez-Iglesias C, Estivill X, Fillat C . Retrovirus-mediated transfer of the herpes simplex virus thymidine kinase and connexin26 genes in pancreatic cells results in variable efficiency on the bystander killing: implications for gene therapy. Int J Cancer. 2001;94:81–88.
Aghi M, Kramm CM, Chou TC, Breakefield XO, Chiocca EA . Synergistic anticancer effects of ganciclovir/thymidine kinase and 5-fluorocytosine/cytosine deaminase gene therapies. J Natl Cancer Inst. 1998;90:370–380.
Wildner O, Blaese RM, Morris JC . Synergy between the herpes simplex virus TK/ganciclovir prodrug suicide system and the topoisomerase I inhibitor topotecan. Hum Gene Ther. 1999;10:2679–2687.
Lee YJ, Galoforo SS, Battle P, Lee H, Corry PM, Jessup JM . Replicating adenoviral vector-mediated transfer of a heat-inducible double suicide gene for gene therapy. Cancer Gene Ther. 2001;6:397–404.
Barbeau D, Charbonneau R, Whalen SG, Bayley ST, Branton PE . Functional interactions within adenovirus E1a protein complexes. Oncogene. 1994;9:359–373.
Frisch MS, Mymryk JS . Adenovirus-5 E!A: paradox and paradigm. Nat Rev Mol Cell Biol. 2002;3:441–452.
Frisch SM . Tumor suppression activity of adenovirus E1a protein: anoikis and the epithelial phenotype. Adv Cancer Res. 2001;80:39–49.
Sánchez-Prieto R, Quintanilla M, Cano A, et al. Carcinoma cell lines become sensitive to DNA-damaging agents by the expression of the adenovirus E1a gene. Oncogene. 1996;13:1083–1092.
Xing X, Yujiao Chang J, Hung M . Preclinical and clinical study of HER-2/neu-targeting cancer gene therapy. Adv Drug Deliv Rev. 1998;30:219–227.
Martin-Duque, et al. Adenovirus lacking 19-kDa and 55-kDa E1B genes exerts a marked cytotoxic effect in human malignant cells. Cancer Gene Ther. 1999;6:554–563.
Wei SJ, et al. S- and G2-phase cell cycle arrests and apoptosis induced by ganciclovir in murine melanoma cells transduced with herpes simplex virus thymidine kinase. Exp Cell Res. 1998;241:66–75.
Halloran PJ, Fenton RG . Irreversible G2-M arrest and cytoskeletal reorganization induced by cytotoxic nucleoside analogues. Cancer Res. 1998;58:3855–3865.
Beltinger C, Fulda S, Kammertoens T, Meyer E, Uckert W, Debatin KM . Herpes simplex virus thymidine kinase/ganciclovir-induced apoptosis involves ligand-independent death receptor aggregation and activation of caspases. Proc Natl Acad Sci USA. 1999;96:8699–8704.
Yageta M, Tsunoda H, Yamanaka T, et al. The adenovirus E1a domains required for induction of DNA rereplication in G2/M arrested cells coincide with those required for apoptosis. Oncogene. 1999;18:4767–4776.
Wildner O, Blaese RM, Morris JC . Therapy of colon cancer with oncolytic adenovirus is enhanced by the addition of herpes simplex virus-thymidine kinase. Cancer Res. 1999;59:410–413.
Lambright ES, Amin K, Wiewrodt R, et al. Inclusion of the herpes simplex thymidine kinase gene in a replicating adenovirus does not augment antitumor efficacy. Gene Ther. 2001;12:946–953.
Acknowledgements
We thank Marta Izquierdo for providing the IRES-TK plasmid and Ramón Alemany and Silvio Gutkind for advice, support, and critical reading of the manuscript. We thank Martin Hadley-Adams for preparing the manuscript and Ruth Valero for technical work. This work was supported by grants from: the “Fondo Español de Investigaciones Sanitarias,” FIS 99/0504; the Comunidad de Madrid, CAM 98/08.1/2, Aventis; and the Areces Foundation. V.F.S. is supported by a postdoctoral fellowship from “Consejeria de Educación (CAM)” with participation of “Fondo Social Europeo.” C.P.C. is supported by a predoctoral fellowship from the “Fondo Español de Investigaciones Sanitarias.”
Author information
Authors and Affiliations
Corresponding author
Rights and permissions
About this article
Cite this article
Parada, C., Hernández Losa, J., Guinea, J. et al. Adenovirus E1a protein enhances the cytotoxic effects of the herpes thymidine kinase-ganciclovir system. Cancer Gene Ther 10, 152–160 (2003). https://doi.org/10.1038/sj.cgt.7700550
Received:
Published:
Issue date:
DOI: https://doi.org/10.1038/sj.cgt.7700550
Keywords
This article is cited by
-
An armed, YB-1-dependent oncolytic adenovirus as a candidate for a combinatorial anti-glioma approach of virotherapy, suicide gene therapy and chemotherapeutic treatment
Cancer Gene Therapy (2015)
-
Gene therapy vectors containing CArG elements from the Egr1 gene are activated by neutron irradiation, cisplatin and doxorubicin
Cancer Gene Therapy (2005)


