Abstract
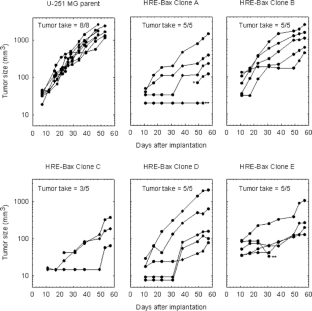
The effectiveness of radiation therapy for human brain tumors is limited by the presence of radiation-resistant hypoxic cells. In order to improve patient outcomes, therapeutic methods that increase hypoxic cell killing must be developed. To investigate the possibility of using the hypoxic tumor microenvironment itself as a target for gene therapy, we stably transfected U-251 MG human glioblastoma cells with constructs containing the suicide gene Bax under the regulation of a nine-copy concatemer of hypoxia responsive elements (HREs). Previously, we demonstrated that the expression of BAX protein under anoxic conditions in transfected U-251 MG clones leads to increased cell killing in vitro. Our recent studies revealed that HIF-1α induction under anoxic conditions occurs prior to the increase in BAX expression, thereby implicating HIF-1 induction as the basis of BAX upregulation. To test the effect of BAX-mediated cell killing in vivo, we implanted five stably transfected clones subcutaneously into the flanks of athymic mice. Compared to nontransfected controls, tumor growth in four of five clones was significantly retarded. Histopathological analysis demonstrated decreased hypoxic fractions and increased amounts of apoptosis in clone-derived tumors. These results suggest that the tumor microenvironment is sufficiently hypoxic to trigger HRE-mediated cell killing via the BAX apoptotic pathway.
This is a preview of subscription content, access via your institution
Access options
Subscribe to this journal
Receive 12 print issues and online access
$259.00 per year
only $21.58 per issue
Buy this article
- Purchase on SpringerLink
- Instant access to the full article PDF.
USD 39.95
Prices may be subject to local taxes which are calculated during checkout






Similar content being viewed by others
References
Berger MS, Wilson CB, (eds) The Gliomas. Philadelphia: WB Saunders; 1999: 1–11.
Eagan RT, Scott M . Evaluation of prognostic factors in chemotherapy of recurrent brain tumors. J Clin Oncol. 1983;1:38–44.
Green SB, Byar DP, Walker MD, et al. Comparisons of carmustine, procarbazine, and high-dose methylprednisolone as additions to surgery and radiotherapy for the treatment of malignant glioma. Cancer Treat Rep. 1983;67:121–132.
Brown JM . Exploiting the hypoxic cancer cell: mechanisms and therapeutic strategies. Mol Med Today. 2000;6:157–162.
Hockel M, Vaupel P . Tumor hypoxia: definitions and current clinical, biologic, and molecular aspects. J Natl Cancer Instit. 2001;93:266–276.
Rampling R, Cruickshank G, Lewis AD, Fitzsimmons SA, Workman P . Direct measurement of pO2 distribution and bioreductive enzymes in human malignant brain tumors. Int J Radiat Oncol Biol Phys. 1994;29:427–431.
Hall EJ . The oxygen effect and reoxygenation. Radiobiology for the Radiologist. 4th edn. Philadelphia: J.B. Lippincott; 1994: 133–152.
Moulder JE, Rockwell S . Tumor hypoxia: its impact on cancer therapy. Cancer Metast Rev. 1987;5:313–341.
Teicher BA, Holden SA, Al-Achi A, Herman TS . Classification of antineoplastic treatments by their differential toxicity toward putative oxygenated and hypoxic tumor subpopulations in vivo in the FSaIIC murine fibrosarcoma. Cancer Res. 1990;50:3339–3344.
Grau C, Overgaard J . Effect of cancer chemotherapy on the hypoxic fraction of a solid tumor measured using a local tumor control assay. Radiother Oncol. 1988;13:301–309.
Rodriguez R, Ritter MA, Fowler JF, Kinsella TJ . Kinetics of cell labeling and thumidine replacement after continuous infusion of halogenated pyrimidines in vivo. Int J Rad Oncol Biol Phys. 1994;29:105–113.
Semenza GL . Regulation of mammalian O2 homeostasis by hypoxia-inducible factor 1. Annu Rev Cell Dev Biol. 1999;15:551–578.
Semenza GL, Wang GL . A nuclear factor induced by hypoxia via de novo protein synthesis binds to the human erythropoietin gene enhancer at a site required for transcriptional activation. Mol Cell Biol. 1992;12:5447–5454.
Semenza GL, Roth PH, Fang HM, Wang GL . Transcriptional regulation of genes encoding glycolytic enzymes by hypoxia-inducible factor 1. J Biol Chem. 1994;269:23757–23763.
Ruan H, Su H, Hu L, Lamborn KR, Kan YW, Deen DF . A hypoxia-regulated adeno-associated virus vector for cancer-specific gene therapy. Neoplasia. 2001;3:255–263.
Ruan H, Wang J, Hu L, Lin CS, Lamborn KR, Deen DF . Killing of brain tumor cells by hypoxia-responsive element mediated expression of BAX. Neoplasia. 1999;1:431–437.
Ruan H, Hu L, Wang J, et al. Hypoxia-inducible expression of BAX: application in tumor-targeted gene therapy. Neurosurg Focus. 2000;8:1–7.
Ozawa T, Wang J, Hu L, Lamborn KR, Bollen AW, Deen DF . Characterization of human glioblastoma xenograft growth in athymic mice. In vivo. 1998;12:369–375.
Shinohara C, Gobbel GT, Lamborn KR, Tada E, Fike JR . Apoptosis in the subependyma of young adult rats after single and fractionated doses of X-rays. Cancer Res. 1997;57:2694–2702.
Collingridge DR, Piepmeier JM, Rockwell S, Knisely JP . Polarographic measurements of oxygen tension in human glioma and surrounding peritumoural brain tissue. Radiother Oncol. 1999;53:127–131.
Wouters BG, Brown JM . Cells at intermediate oxygen levels can be more important than the “hypoxic fraction” in determining tumor response to fractionated radiotherapy. Radiat Res. 1997;147:541–550.
Raleigh JA, Chou SC, Arteel GE, Horsman MR . Comparisons among pimonidazole binding, oxygen electrode measurements, and radiation response in C3H mouse tumors. Radiat Res. 1999;151:580–589.
Durand RE, Raleigh JA . Identification of nonproliferating but viable hypoxic tumor cells in vivo. Cancer Res. 1998;58:3547–3550.
Zagzag D, Zhong H, Scalzitti JM, Laughner E, Simons JW, Semenza GL . Expression of hypoxia-inducible 1α in brain tumors. Cancer. 2000;88:2606–2618.
Shinoura N, Yoshida Y, Asai A, Kirino T, Hamada H . Relative level of expression of Bax and Bcl-XL determines the cellular fate of apoptosis/necrosis induced by the overexpression of Bax. Oncogene. 1999;18:5703–5713.
Haas-Kogan DA, Dazin P, Hu L, Deen DF, Israel MA . P53-independent apoptosis: a mechanism of radiation-induced cell death of glioblastoma cells. Cancer J Sci Am. 1996;2:114–121.
Chen P, Iavarone A, Fick J, Edwards M, Prados M, Israel MA . Constitutional p53 mutations associated with brain tumors in young adults. Cancer Genet Cytogenet. 1995;82:106–115.
Li X, Marani M, Yu J, et al. Adenovirus-mediated Bax overexpression for the induction of therapeutic apoptosis in prostate cancer. Cancer Res. 2001;61:186–191.
Su H, Arakawa-Hoyt J, Kan YW . Adeno-associated viral vector-mediated hypoxia response element-regulated gene expression in mouse ischemic heart model. Proc Natl Acad Sci USA. 2002;99:9480–9485.
Brizel DM, Scully SP, Harrelson JM, et al. Tumor oxygenation predicts for the likelihood of distant metastases in human soft tissue sarcoma. Cancer Res. 1996;56:941–943.
Acknowledgements
We thank Drs DongFang Wang, Jingli Wang, and Shinichiro Mizumatsu for their technical assistance. We also thank Ms Raquel A Santos for her assistance with the animal work, and Ms Sharon Reynolds for editorial support. This work was supported by NIH Grants CA-85356 and NS-42927.
Author information
Authors and Affiliations
Corresponding author
Rights and permissions
About this article
Cite this article
Ozawa, T., Hu, J., Hu, L. et al. Functionality of hypoxia-induced BAX expression in a human glioblastoma xenograft model. Cancer Gene Ther 12, 449–455 (2005). https://doi.org/10.1038/sj.cgt.7700814
Received:
Published:
Issue date:
DOI: https://doi.org/10.1038/sj.cgt.7700814
Keywords
This article is cited by
-
CoCl2 simulated hypoxia induce cell proliferation and alter the expression pattern of hypoxia associated genes involved in angiogenesis and apoptosis
Biological Research (2019)
-
A Lentiviral Vector Expressing Desired Gene Only in Transduced Cells: An Approach for Suicide Gene Therapy
Molecular Biotechnology (2015)
-
Detailed assessment of gene activation levels by multiple hypoxia-responsive elements under various hypoxic conditions
Annals of Nuclear Medicine (2014)
-
A Novel Double-Enhanced Suicide Gene Therapy in a Colon Cancer Cell Line Mediated by Gef and Apoptin
BioDrugs (2014)
-
Effects of HIF-1α on human gastric cancer cell apoptosis at different CO2 pressures
Clinical and Experimental Medicine (2009)


