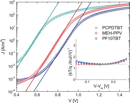
Figure 9
From: Diffusion-driven currents in organic-semiconductor diodes

Dark J–V characteristics of PCPDTBT:PCBM, MEH-PPV:PCBM and PF10TBT:PCBM solar cells. The solid lines are fits to the exponential regime of the characteristics. The inset shows the differential plot of the data according to Equation (3).