Figure 2

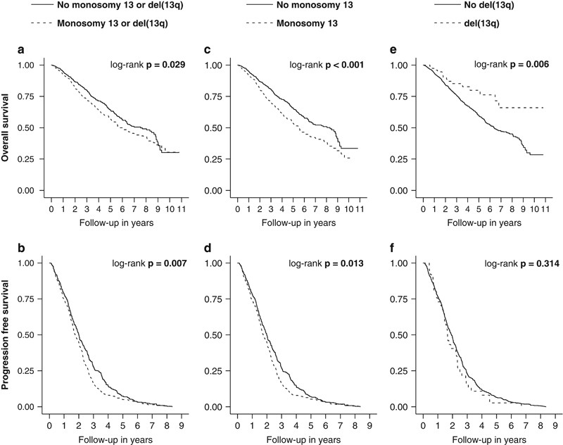
Kaplan–Meier overall (n=1181) and progression-free survival (n=660) estimates for patients with newly diagnosed multiple myeloma stratified by the presence of (a,b) monosomy 13 or del(13q), (c,d) monosomy 13, and (e,f) del(13q).

Kaplan–Meier overall (n=1181) and progression-free survival (n=660) estimates for patients with newly diagnosed multiple myeloma stratified by the presence of (a,b) monosomy 13 or del(13q), (c,d) monosomy 13, and (e,f) del(13q).