Figure 1
From: Overestimation of carboplatin doses is avoided by radionuclide GFR measurement

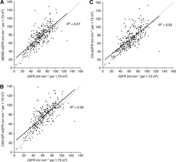
Scatter plots of rGFR plotted against (A) the eGFR calculated from the MDRD equation, (B) the eGFR calculated from the CKD-EPI equation and (C) the eGFR calculated from the CG equation. The linear regression lines are shown as solid lines, the lines of identity are shown as dashed lines.