Abstract
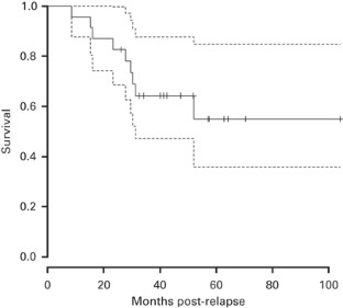
We retrospectively studied a series of 23 patients (median age 50 years, range 29–59 years) with multiple myeloma (MM), treated in first relapse by a sequential autologous–allogeneic tandem approach. Tandem transplantation (TT) consisted in high dose melphalan (HDT) and auto-SCT followed by an (allo-SCT) preceded by two gray TBI non-myeloablative conditioning. All patients received a first HDT as frontline treatment. At day 100 post allo-SCT, complete donor chimerism was detected in 22 patients (95%). Acute GVHD was observed in 19 patients (15 grade I–II (65%) and 4 grade III–IV (17%)). Ten patients (43%) developed an extensive chronic GVHD. The non-relapse mortality at 1 year was 17%. After TT, the overall response rate was 91% (17% partial response, 35% very good partial remission and 39% complete remission). At 2 years, OS was 61%. Median event-free survival and OS were 36.8 and 60 months, respectively. Based on the propensity score matching method, a significant survival advantage could be seen in patients treated with TT as compared with non-allografted patients. Thus, allo-SCT, in TT approach, provides a high response rate with low toxicity and may improve survival of patients with relapsing MM.
This is a preview of subscription content, access via your institution
Access options
Subscribe to this journal
Receive 12 print issues and online access
$259.00 per year
only $21.58 per issue
Buy this article
- Purchase on SpringerLink
- Instant access to the full article PDF.
USD 39.95
Prices may be subject to local taxes which are calculated during checkout



Similar content being viewed by others
References
Hideshima T, Bergsagel PL, Kuehl WM, Anderson KC . Advances in biology of multiple myeloma: clinical applications. Blood 2004; 104: 607–618.
Salama M, Nevill T, Marcellus D, Parker P, Johnson M, Kirk A et al. Donor leukocyte infusions for multiple myeloma. Bone Marrow Transplant 2000; 26: 1179–1184.
Le Blanc R, Montminy-Metivier S, Belanger R, Busque L, Fish D, Roy DC et al. Allogeneic transplantation for multiple myeloma: further evidence for a GVHD-associated graft-versus-myeloma effect. Bone Marrow Transplant 2001; 28: 841–848.
Bensinger WI, Buckner CD, Anasetti C, Clift R, Storb R, Barnett T et al. Allogeneic marrow transplantation for multiple myeloma: an analysis of risk factors on outcome. Blood 1996; 88: 2787–2793.
Barlogie B, Kyle RA, Anderson KC, Greipp PR, Lazarus HM, Hurd DD et al. Standard chemotherapy compared with high-dose chemoradiotherapy for multiple myeloma: final results of phase III US Intergroup Trial S9321. J Clin Oncol 2006; 24: 929–936.
Garban F, Attal M, Michallet M, Hulin C, Bourhis JH, Yakoub-Agha I et al. Prospective comparison of autologous stem cell transplantation followed by dose-reduced allograft (IFM99-03 trial) with tandem autologous stem cell transplantation (IFM99-04 trial) in high-risk de novo multiple myeloma. Blood 2006; 107: 3474–3480.
Bruno B, Rotta M, Patriarca F, Mordini N, Allione B, Carnevale-Schianca F et al. A comparison of allografting with autografting for newly diagnosed myeloma. N Engl J Med 2007; 356: 1110–1120.
Rosinol L, Perez-Simon JA, Sureda A, de la Rubia J, de Arriba F, Lahuerta JJ et al. A prospective PETHEMA study of tandem autologous transplantation versus autograft followed by reduced-intensity conditioning allogeneic transplantation in newly diagnosed multiple myeloma. Blood 2008; 112: 3591–3593.
Kroger N, Sayer HG, Schwerdtfeger R, Kiehl M, Nagler A, Renges H et al. Unrelated stem cell transplantation in multiple myeloma after a reduced-intensity conditioning with pretransplantation antithymocyte globulin is highly effective with low transplantation-related mortality. Blood 2002; 100: 3919–3924.
Einsele H, Schafer HJ, Hebart H, Bader P, Meisner C, Plasswilm L et al. Follow-up of patients with progressive multiple myeloma undergoing allografts after reduced-intensity conditioning. Br J Haematol 2003; 121: 411–418.
Maloney DG, Molina AJ, Sahebi F, Stockerl-Goldstein KE, Sandmaier BM, Bensinger W et al. Allografting with nonmyeloablative conditioning following cytoreductive autografts for the treatment of patients with multiple myeloma. Blood 2003; 102: 3447–3454.
Durie BG, Harousseau JL, Miguel JS, Blade J, Barlogie B, Anderson K et al. International uniform response criteria for multiple myeloma. Leukemia 2006; 20: 1467–1473.
Rosenbaum PR RD . The central role of the propensity score in observational studies for causal effects. Biometrika 1983; 70: 41–55.
Fermand JP, Katsahian S, Divine M, Leblond V, Dreyfus F, Macro M et al. High-dose therapy and autologous blood stem-cell transplantation compared with conventional treatment in myeloma patients aged 55 to 65 years: long-term results of a randomized control trial from the Group Myelome-Autogreffe. J Clin Oncol 2005; 23: 9227–9233.
Georges GE, Maris MB, Maloney DG, Sandmaier BM, Sorror ML, Shizuru JA et al. Nonmyeloablative unrelated donor hematopoietic cell transplantation to treat patients with poor-risk, relapsed, or refractory multiple myeloma. Biol Blood Marrow Transplant 2007; 13: 423–432.
Moreau P, Garban F, Attal M, Michallet M, Marit G, Hulin C et al. Long-term follow-up results of IFM99-03 and IFM99-04 trials comparing nonmyeloablative allotransplantation with autologous transplantation in high-risk de novo multiple myeloma. Blood 2008; 112: 3914–3915.
Lokhorst HM, Wu K, Verdonck LF, Laterveer LL, van de Donk NW, van Oers MH et al. The occurrence of graft-versus-host disease is the major predictive factor for response to donor lymphocyte infusions in multiple myeloma. Blood 2004; 103: 4362–4364.
Kroger N, Shimoni A, Zagrivnaja M, Ayuk F, Lioznov M, Schieder H et al. Low-dose thalidomide and donor lymphocyte infusion as adoptive immunotherapy after allogeneic stem cell transplantation in patients with multiple myeloma. Blood 2004; 104: 3361–3363.
Ayuk F, Shimoni A, Nagler A, Schwerdtfeger R, Kiehl M, Sayer HG et al. Efficacy and toxicity of low-dose escalating donor lymphocyte infusion given after reduced intensity conditioning allograft for multiple myeloma. Leukemia 2004; 18: 659–662.
van de Donk NW, Kroger N, Hegenbart U, Corradini P, San Miguel JF, Goldschmidt H et al. Remarkable activity of novel agents bortezomib and thalidomide in patients not responding to donor lymphocyte infusions following nonmyeloablative allogeneic stem cell transplantation in multiple myeloma. Blood 2006; 107: 3415–3416.
Jaksic W, Trudel S, Chang H, Trieu Y, Qi X, Mikhael J et al. Clinical outcomes in t(4;14) multiple myeloma: a chemotherapy-sensitive disease characterized by rapid relapse and alkylating agent resistance. J Clin Oncol 2005; 23: 7069–7073.
Schilling G, Hansen T, Shimoni A, Zabelina T, Perez-Simon JA, Gutierrez NC et al. Impact of genetic abnormalities on survival after allogeneic hematopoietic stem cell transplantation in multiple myeloma. Leukemia 2008; 22: 1250–1255.
Author information
Authors and Affiliations
Corresponding authors
Ethics declarations
Competing interests
The authors declare no conflict of interest.
Rights and permissions
About this article
Cite this article
Karlin, L., Arnulf, B., Chevret, S. et al. Tandem autologous non-myeloablative allogeneic transplantation in patients with multiple myeloma relapsing after a first high dose therapy. Bone Marrow Transplant 46, 250–256 (2011). https://doi.org/10.1038/bmt.2010.90
Received:
Revised:
Accepted:
Published:
Issue date:
DOI: https://doi.org/10.1038/bmt.2010.90
Keywords
This article is cited by
-
Allogeneic Hematopoietic Stem Cell Transplantation for Myeloma: Time for an Obituary or Not Just Yet!
Indian Journal of Hematology and Blood Transfusion (2019)
-
Allogeneic stem-cell transplantation for multiple myeloma: a systematic review and meta-analysis from 2007 to 2017
Cancer Cell International (2018)
-
In search of the optimal platform for Post-Allogeneic SCT immunotherapy in relapsed multiple myeloma: a systematic review
Bone Marrow Transplantation (2017)
-
Allo-SCT for multiple myeloma in the era of novel agents: a retrospective study on behalf of Swiss Blood SCT
Bone Marrow Transplantation (2013)
-
Evaluation of the Propensity score methods for estimating marginal odds ratios in case of small sample size
BMC Medical Research Methodology (2012)


