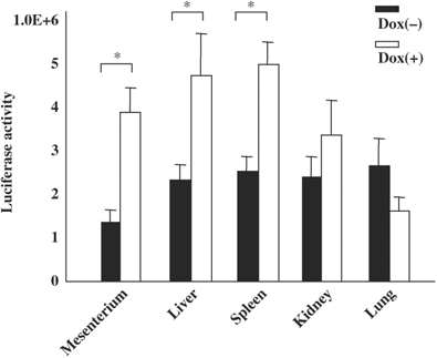
Figure 6

WI38 cells co-infected with AdCMV-rtTA, AdTRE-E1 and AdCMV-luci were transplanted into the peritoneal space in the nude mice. The mice were fed with drinking water with or without Dox for 3 days. Then, the luciferase activity was measured in the liver, spleen, kidney, lung and mesenterium. The luciferase activity in the liver, spleen and mesenterium in the mice fed with Dox (open bar) was significantly higher than in the mice without Dox (closed bar) (*P<0.05), whereas, there was no significant difference in luciferase activity in the kidney and lung. Mean±s.e. of triplicate determination is shown.