Figure 2
From: Fine mapping genetic determinants of the highly variably expressed MHC gene ZFP57

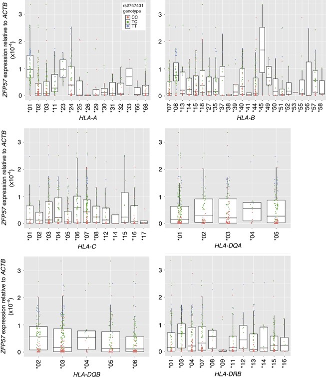
Association between ZFP57 expression, eSNPs and classical HLA types. HLA-A, HLA-B, HLA-C, HLA-DRB, HLA-DQA and HLA-DQB shown at two-digit resolution with ZFP57 expression in PBMCs quantified by qPCR. Expression values are plotted for each individual corresponding to each HLA allele and coloured based on rs2747431 genotype (individuals with CC genotype at rs2747431 shown in red, CT in green and TT in blue). Two ZFP57 expression values are plotted for each individual corresponding to each allele. There was evidence of association for HLA-A*01 and HLA-A*23 alleles (P<0.0001 when analysed using a Mann–Whitney test).