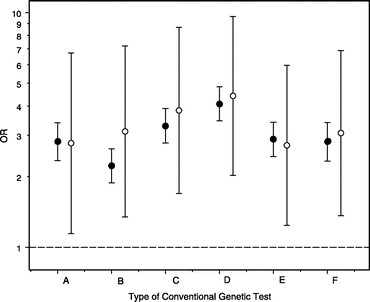
Fig. 1
From: Awareness and use of direct-to-consumer nutrigenomic tests, United States, 2006

Point estimates of odds ratios and confidence intervals for awareness of conventional genetic testing products and services adjusted for age, sex, income, and education. Data are presented for respondents who were aware of direct-to-consumer nutrigenomic tests (DTCngts) (solid circles) and for respondents who had used DTCngts (open circles) compared with respondents who were not aware of DTCngts. The conventional genetic testing products and services are as follows: (A) pregnancy screening, (B) newborn screening, (C) diagnosis, (D) prediction, (E) carrier testing, and (F) pharmacogenetics.