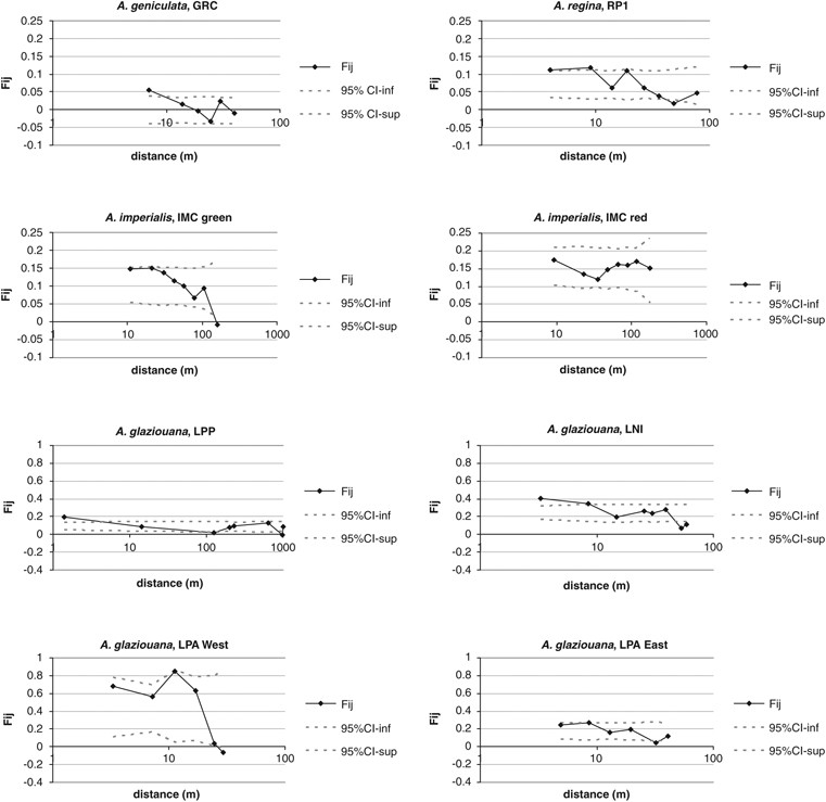
Figure 2

Kinship (Fij) values (connected by solid black lines) and their 95% confidence intervals (dotted lines) as a function of geographic distance between pairs of individuals (logarithmic scale) for seven populations of four different Alcantarea species. The eight panels represent all those populations or sub-populations for which significant SGS was detected. The red morph of population IMC is shown for comparative purposes, although SGS for this sub-population was not significant.