Figure 1
From: Novel OPN1LW/OPN1MW deletion mutations in 2 Japanese families with blue cone monochromacy

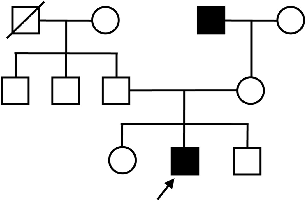
Pedigree of family 1. Square boxes and circles denote male and female members, respectively; black symbols indicate affected individuals; and slashed symbols indicate deceased individuals. The proband is indicated by an arrow.