Figure 2
From: Factors influencing arterial stiffness in pheochromocytoma and effect of adrenalectomy

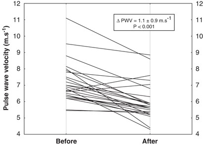
The change in PWV after tumor removal in patients with pheochromocytoma.
From: Factors influencing arterial stiffness in pheochromocytoma and effect of adrenalectomy

The change in PWV after tumor removal in patients with pheochromocytoma.