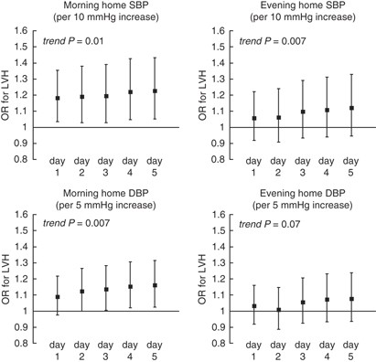
Figure 1

Adjusted ORs (95% CI) for LVH (present, 1; absent, 0) associated with cumulative home BP measurements. Models were adjusted for body mass index, office HR and office BP. If models included evening home BP, data were further adjusted for BP measurements before or after bathing and before or after consuming alcohol. OR, odds ratio; CI, confidence interval; LVH, left ventricular hypertrophy; HR, heart rate; SBP, systolic blood pressure; DBP, diastolic blood pressure.