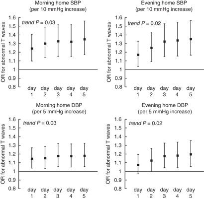
Figure 2

Adjusted ORs (95% CI) for abnormal T waves (present, 1; absent, 0) associated with cumulative home BP measurements. Models were adjusted for age, timing of taking medication in the evening and office BP. If models included evening home BP, data were further adjusted for BP measurements before or after bathing, and before or after consuming alcohol. OR, odds ratio; CI, confidence interval; SBP, systolic blood pressure; DBP, diastolic blood pressure.