Abstract
Objective:
Increased dietary fat intake is a precipitating factor for the development of obesity and associated metabolic disturbances. Physically active individuals generally have a reduced risk of developing these unhealthy states, but the underlying mechanisms are poorly understood. In the present study, we investigated the effects of feeding a high-fat diet (HFD) on obesity development and fuel homeostasis in male and female mice with a trait for increased physical activity and in their controls.
Methods:
Male and female mice selectively bred for a high level of wheel running behavior over 30 generations and nonselected controls (background strain Hsd:ICR) were maintained on a standard lab chow high-carbohydrate diet (HCD) or on an HFD (60% fat). Food intake, body weight, indirect calorimetry parameters, spontaneous locomotor activity and several hormones relevant to metabolism and energy balance were measured.
Results:
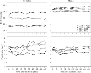
On HFD, mice reduced food intake and increased body fat mass and plasma leptin levels, with the notable exception of the selected females, which increased their ingested calories without any effects on body mass or plasma leptin levels. In addition, they had an elevated daily energy expenditure (DEE), increased spontaneous cage activity (∼700% relative to controls) and higher resting metabolic rate (RMR) on the HFD compared with feeding the HCD. The selected males also had a higher DEE compared with controls, but no interaction with diet was observed. On HCD, adiponectin levels were higher in selected male, but not female, mice relative to controls. A marked increase in the level of plasma adiponectin was observed on the HFD in selected females, an effect of diet that was not observed in selected males.
Conclusion:
Genetically based high locomotor activity renders female, but not male, mice resistant to HFD-induced obesity by alterations in behavioral, endocrine and metabolic traits that facilitate fat utilization rather than limiting HFD intake.
This is a preview of subscription content, access via your institution
Access options
Subscribe to this journal
Receive 12 print issues and online access
$259.00 per year
only $21.58 per issue
Buy this article
- Purchase on SpringerLink
- Instant access to the full article PDF.
USD 39.95
Prices may be subject to local taxes which are calculated during checkout




Similar content being viewed by others
References
Moller DE, Kaufman KD . Metabolic syndrome: a clinical and molecular perspective. Annu Rev Med 2005; 56: 45–62.
Carroll S, Dudfield M . What is the relationship between exercise and metabolic abnormalities? A review of the metabolic syndrome. Sports Med 2004; 34/6: 371–418.
Ahren B, Scheurink AJ . Marked hyperleptinemia after high-fat diet associated with severe glucose intolerance in mice. Eur J Endocrinol 1998; 139/4: 461–467.
Lin S, Thomas TC, Storlien LH, Huang XF . Development of high fat diet-induced obesity and leptin resistance in C57Bl/6J mice. Int J Obes Relat Metab Disord 2000; 24/5: 639–646.
Storlien LH, James DE, Burleigh KM, Chisholm DJ, Kraegen EW . Fat feeding causes widespread in vivo insulin resistance, decreased energy expenditure, and obesity in rats. Am J Physiol 1986; 251/5 (Pt 1): E576–E583.
Winzell MS, Ahren B . The high-fat diet-fed mouse: a model for studying mechanisms and treatment of impaired glucose tolerance and type 2 diabetes. Diabetes 2004; 53 (Suppl 3): S215–S219.
Surwit RS, Feinglos MN, Rodin J, Sutherland A, Petro AE, Opara EC et al. Differential effects of fat and sucrose on the development of obesity and diabetes in C57BL/6J and A/J mice. Metabolism 1995; 44/5: 645–651.
Carroll L, Voisey J, van Daal A . Mouse models of obesity. Clin Dermatol 2004; 22/4: 345–349.
Tschop M, Heiman ML . Rodent obesity models: an overview. Exp Clin Endocrinol Diabetes 2001; 109/6: 307–319.
Jen KL, Buison A, Pellizzon M, Ordiz Jr F, Santa Ana L, Brown J . Differential effects of fatty acids and exercise on body weight regulation and metabolism in female Wistar rats. Exp Biol Med (Maywood) 2003; 228/7: 843–849.
Pellizzon M, Buison A, Ordiz Jr F, Santa Ana L, Jen KL . Effects of dietary fatty acids and exercise on body-weight regulation and metabolism in rats. Obes Res 2002; 10/9: 947–955.
Chennaoui M, Gomez MD, Lesage J, Drogou C, Guezennec CY . Effects of moderate and intensive training on the hypothalamo–pituitary–adrenal axis in rats. Acta Physiol Scand 2002; 175/2: 113–121.
Bell RR, Spencer MJ, Sherriff JL . Diet-induced obesity in mice can be treated without energy restriction using exercise and/or a low fat diet. J Nutr 1995; 125/9: 2356–2363.
Patterson CM, Dunn-Meynell AA, Levin BE . Three weeks of early-onset exercise prolongs obesity resistance in DIO rats after exercise cessation. Am J Physiol Regul Integr Comp Physiol 2008; 294/2: R290–R301.
Swallow JG, Carter PA, Garland Jr T . Artificial selection for increased wheel running behavior in house mice. Beh Gen 1998; 28/3: 227–237.
Girard I, Rezende EL, Garland Jr T . Leptin levels and body composition of mice selectively bred for high voluntary locomotor activity. Physiol Biochem Zool 2007; 80/6: 568–579.
Swallow JG, Koteja P, Carter PA, Garland Jr T . Food consumption and body composition in mice selected for high wheel-running activity. J Comp Physiol [B] 2001; 171/8: 651–659.
Vaanholt LM, Meerlo P, Garland Jr T, Visser GH, van DG . Plasma adiponectin is increased in mice selectively bred for high wheel-running activity, but not by wheel running per se. Horm Metab Res 2007; 39/5: 377–383.
Malisch JL, Breuner CW, Gomes FR, Chappell MA, Garland Jr T . Circadian pattern of total and free corticosterone concentrations, corticosteroid-binding globulin, and physical activity in mice selectively bred for high voluntary wheel-running behavior. Gen Comp Endocrinol 2008; 156/2: 210–217.
Baratta R, Amato S, Degano C, Farina MG, Patane G, Vigneri R et al. Adiponectin relationship with lipid metabolism is independent of body fat mass: evidence from both cross-sectional and intervention studies. J Clin Endocrinol Metab 2004; 89/6: 2665–2671.
Berg AH, Combs TP, Scherer PE . ACRP30/adiponectin: an adipokine regulating glucose and lipid metabolism. Trends Endocrinol Metab 2002; 13/2: 84–89.
Fruebis J, Tsao TS, Javorschi S, Ebbets-Reed D, Erickson MR, Yen FT et al. Proteolytic cleavage product of 30-kDa adipocyte complement-related protein increases fatty acid oxidation in muscle and causes weight loss in mice. Proc Natl Acad Sci USA 2001; 98/4: 2005–2010.
Romijn C, Lokhorst W . Some aspects of poultry Metabolism. Zentralbl Veterinarmed A 1964; 11/4: 297–314.
Stiegler P, Cunliffe A . The role of diet and exercise for the maintenance of fat-free mass and resting metabolic rate during weight loss. Sports Med 2006; 36/3: 239–262.
Rhodes JS, Gammie SC, Garland Jr T . Neurobiology of mice selected for high voluntary wheel-running activity. Integr Comp Biol 2005; 45: 438–455.
Owens S, Gutin B, Allison J, Riggs S, Ferguson M, Litaker M et al. Effect of physical training on total and visceral fat in obese children. Med Sci Sports Exerc 1999; 31/1: 143–148.
Waller K, Kaprio J, Kujala UM . Associations between long-term physical activity, waist circumference and weight gain: a 30-year longitudinal twin study. Int J Obes (Lond) 2008; 32/2: 353–361.
Levin BE, Dunn-Meynell AA . Chronic exercise lowers the defended body weight gain and adiposity in diet-induced obese rats. Am J Physiol Regul Integr Comp Physiol 2004; 286/4: R771–R778.
Morens C, Keijzer M, de Vries K, Scheurink A, van Dijk G . Effects of high-fat diets with different carbohydrate-to-protein ratios on energy homeostasis in rats with impaired brain melanocortin receptor activity. Am J Physiol Regul Integr Comp Physiol 2005; 289/1: R156–R163.
Levine JA . Non-exercise activity thermogenesis (NEAT). Best Pract Res Clin Endocrinol Metab 2002; 16/4: 679–702.
Levine JA, Lanningham-Foster LM, McCrady SK, Krizan AC, Olson LR, Kane PH et al. Interindividual variation in posture allocation: possible role in human obesity. Science 2005; 307/5709: 584–586.
Novak CM, Kotz CM, Levine JA . Central orexin sensitivity, physical activity, and obesity in diet-induced obese and diet-resistant rats. Am J Physiol Endocrinol Metab 2006; 290/2: E396–E403.
Wisloff U, Najjar SM, Ellingsen O, Haram PM, Swoap S, Al-Share Q et al. Cardiovascular risk factors emerge after artificial selection for low aerobic capacity. Science 2005; 307/5708: 418–420.
Kane SL, Garland Jr T, Carter PA . Basal metabolic rate of aged mice is affected by random genetic drift but not by selective breeding for high early-age locomotor activity or chronic wheel access. Physiol Biochem Zool 2008; 81/3: 288–300.
Bruce CR, Mertz VA, Heigenhauser GJ, Dyck DJ . The stimulatory effect of globular adiponectin on insulin-stimulated glucose uptake and fatty acid oxidation is impaired in skeletal muscle from obese subjects. Diabetes 2005; 54/11: 3154–3160.
Yamauchi T, Kamon J, Waki H, Terauchi Y, Kubota N, Hara K et al. The fat-derived hormone adiponectin reverses insulin resistance associated with both lipoatrophy and obesity. Nat Med 2001; 7/8: 941–946.
Yamauchi T, Kamon J, Minokoshi Y, Ito Y, Waki H, Uchida S et al. Adiponectin stimulates glucose utilization and fatty-acid oxidation by activating AMP-activated protein kinase. Nat Med 2002; 8/11: 1288–1295.
Simpson KA, Singh MA . Effects of exercise on adiponectin: a systematic review. Obesity (Silver Spring) 2008; 16/2: 241–256.
Imai J, Katagiri H, Yamada T, Ishigaki Y, Ogihara T, Uno K et al. Cold exposure suppresses serum adiponectin levels through sympathetic nerve activation in mice. Obesity (Silver Spring) 2006; 14/7: 1132–1141.
Wakabayashi S, Aso Y . Adiponectin concentrations in sera from patients with type 2 diabetes are negatively associated with sympathovagal balance as evaluated by power spectral analysis of heart rate variation. Diabetes Care 2004; 27/10: 2392–2397.
Fraenkel M, Caloyeras J, Ren SG, Melmed S . Sex-steroid milieu determines diabetes rescue in pttg-null mice. J Endocrinol 2006; 189/3: 519–528.
Zhang Y, Lee TS, Kolb EM, Sun K, Lu X, Sladek FM et al. AMP-activated protein kinase is involved in endothelial NO synthase activation in response to shear stress. Arterioscler Thromb Vasc Biol 2006; 26/6: 1281–1287.
Clegg DJ, Brown LM, Woods SC, Benoit SC . Gonadal hormones determine sensitivity to central leptin and insulin. Diabetes 2006; 55/4: 978–987.
Acknowledgements
We thank G Overkamp and J Bruggink for expert technical assistance. This work was supported primarily by a career development grant from the Dutch Diabetes Foundation (to G van Dijk). Additional support was provided by grants from the US National Science Foundation (to T Garland), most recently IOB-0543429. The authors would like to commemorate Prof GH Visser, who inspired collaborations leading to this manuscript. Henk Visser passed away on 3 June 2007. He was a great friend and colleague and is deeply missed.
Author information
Authors and Affiliations
Corresponding author
Rights and permissions
About this article
Cite this article
Vaanholt, L., Jonas, I., Doornbos, M. et al. Metabolic and behavioral responses to high-fat feeding in mice selectively bred for high wheel-running activity. Int J Obes 32, 1566–1575 (2008). https://doi.org/10.1038/ijo.2008.136
Received:
Revised:
Accepted:
Published:
Issue date:
DOI: https://doi.org/10.1038/ijo.2008.136
Keywords
This article is cited by
-
Hypothalamic inflammation and thermogenesis: the brown adipose tissue connection
Journal of Bioenergetics and Biomembranes (2011)
-
Western diet increases wheel running in mice selectively bred for high voluntary wheel running
International Journal of Obesity (2010)
-
Behavioral Traits are Affected by Selective Breeding for Increased Wheel-Running Behavior in Mice
Behavior Genetics (2010)
-
Voluntary Exercise and Its Effects on Body Composition Depend on Genetic Selection History
Obesity (2009)
-
Day-to-day variability in voluntary wheel running among genetically differentiated lines of mice that vary in activity level
European Journal of Applied Physiology (2009)


