Abstract
Objective:
The marked weight loss induced by Roux-en-Y gastric bypass (RYGBP) for morbid obesity is still incompletely understood. It has been suggested that, besides the restriction imposed by the surgical procedure, alterations in gut regulatory peptides signaling the brain might contribute. The aim of this study was to measure the putative satiety peptides peptide YY (PYY), glucagon-like peptide-1 (GLP-1), pancreatic polypeptide (PP) and pro-neurotensin (pro-NT) in response to fasting and feeding.
Design:
The study is a cross-sectional study. After a prolonged overnight 14 h fast, a standardized mixed meal (574 kcal) was provided. Blood samples for peptide measurements were obtained before and after the meal.
Subjects:
Forty subjects (20 males and females) were included; 10 morbidly obese; (mean age 41±7 years; mean BMI 44±3 kg/m2), 10 operated with RYGBP (age 45±5 years; BMI 35±6 kg/m2), 10 aged-matched lean (age 44±5 years; BMI 24±3 kg/m2) and 10 young lean subjects (age 26±2 years; BMI 23±2 kg/m2).
Measurements:
Plasma concentrations of PYY, GLP-1, PP and pro-NT were obtained.
Results:
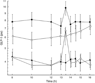
PYY levels increased more in the RYGBP group than in the other groups after the test meal. GLP-1 levels rose in the RYGBP patients, with a small increase seen in the age-matched lean group. PP concentrations increased similarly in all groups postprandially. Pro-NT levels were highest in surgical patients, with no meal effect.
Conclusion:
RYGBP subjects displayed exaggerated PYY and GLP-1 responses to a standardized meal and demonstrated higher pro-NT levels both pre- and postprandially. The findings indicate that possibly the alterations in gut peptide secretion may promote weight loss after gastric bypass surgery.
This is a preview of subscription content, access via your institution
Access options
Subscribe to this journal
Receive 12 print issues and online access
$259.00 per year
only $21.58 per issue
Buy this article
- Purchase on SpringerLink
- Instant access to the full article PDF.
USD 39.95
Prices may be subject to local taxes which are calculated during checkout



Similar content being viewed by others
References
Fried M, Hainer V, Basdevant A, Buchwald H, Deitel M et al. Inter-disciplinary European guidelines on surgery of severe obesity. Int J Obes 2007; 31: 569–577.
Karlsson J, Taft C, Rydén A, Sjöström L, Sullivan M . Ten-year trends in health-related quality of life after surgical and conventional treatment for severe obesity: the SOS intervention study. Int J Obes (Lond) 2007; 31: 1248–1261.
Wettergren A, Petersen H, Orskov C, Christiansen J, Sheikh SP, Holst JJ . Glucagon-like peptide-1 7–36 amide and peptide YY from the L-cell of the ileal mucosa are potent inhibitors of vagally induced gastric acid secretion in man. Scand J Gastroenterol 1994; 29: 501–505.
Batterham RL, Cowley MA, Small CJ, Herzog H, Cohen MA, Dakin CL . Gut hormone PYY3–36 physiologically inhibits food intake. Nature 2002; 418: 650–654.
Lin HC, Chey WY, Zhao X . Release of distal gut peptide YY (PYY) by fat in proximal gut depends on CCK. Peptides 2000; 21: 1561–1563.
Imamura M . Effects of surgical manipulation of the intestine on peptide YY and its physiology. Peptides 2002; 23: 403–407.
Stock S, Leichner P, Wong AC, Ghatei MA, Kieffer TJ, Bloom SR et al. Ghrelin, peptide YY, glucose-dependent insulinotropic polypeptide, and hunger responses to a mixed meal in anorexic, obese, and control female adolescents. J Clin Endocrin Metab 2005; 90: 2161–2168.
Turton MD, O'Shea D, Gunn I, Beak SA, Edwards CM, Meeran K et al. A role for glucagon-like peptide-1 in the central regulation of feeding. Nature 1996; 379: 69–72.
Tang-Christensen M, Larsen PJ, Goke R, Fink-Jensen A, Jessop DS, Moller M et al. Central administration of GLP-1-(7–36) amide inhibits food and water intake in rats. Am J Physiol 1996; 271: R848–R856.
Flint A, Raben A, Astrup A, Holst JJ . Glucagon-like peptide 1 promotes satiety and suppresses energy intake in humans. J Clin Invest 1998; 101: 515–520.
Näslund E, Barkeling B, King N, Gutniak M, Blundell JE, Rössner S et al. Energy intake and appetite are suppressed by glucagon-like peptide-1 (GLP-1) in obese men. Int J Obes Relat Metab Disord 1999; 23: 304–311.
Gutzwiller JP, Goke B, Drewe J, Hildebrand P, Ketterer S, Handschin D et al. Glucagon-like peptide-1: a potent regulator of food intake in humans. Gut 1999; 44: 81–86.
Gutzwiller JP, Drewe J, Goke B, Schmidt H, Rohrer B, Lareida J et al. Glucagon-like peptide-1 promotes satiety and reduces food intake in patients with diabetes mellitus type 2. Am J Physiol 1999; 276: R1541–R1544.
Toft-Nielsen MB, Madsbad S, Holst JJ . Continuous subcutaneous infusion of glucagon-like peptide 1 lowers plasma glucose and reduces appetite in type 2 diabetic patients. Diabetes Care 1999; 22: 1137–1143.
Verdich C, Flint A, Gutzwiller JP, Näslund E, Beglinger C, Hellström PM et al. A meta-analysis of the effect of glucagon-like peptide-1 (7–36) amide on ad libitum energy intake in humans. J Clin Endocrinol Metab 2001; 86: 4382–4389.
Schwartz TW . Pancreatic polypeptide: a hormone under vagal control. Gastroenterology 1983; 85: 1411–1425.
Katsuura G, Asakawa A, Inui A . Roles of pancreatic polypeptide in regulation of food intake. Peptides 2002; 23: 323–329.
Vozarova de Courten B, Weyer C, Stefan N, Horton M, DelParigi A, Havel P et al. Parasympathetic blockade attenuates augmented pancreatic polypeptide but not insulin secretion in Pima Indians. Diabetes 2004; 53: 663–671.
Greydanus MP, Vassallo M, Camilleri M, Nelson DK, Hanson RB, Thomforde GM . Neurohormonal factors in functional dyspepsia: insights on pathophysiological mechanisms. Gastroenterology 1991; 100: 1311–1318.
Taylor IL, Feldman M, Richardson CT, Walsh JH . Gastric and cephalic stimulation of human pancreatic polypeptide release. Gastroenterology 1978; 75: 432–437.
Dobner PR, Barber DL, Villa-Komaroff L, McKiernan C . Cloning and sequence analysis of cDNA for the canine neurotensin/neuromedin N precursor. Proc Natl Acad Sci USA 1987; 84: 3516–3520.
Kitabgi P . Prohormone convertases differentially process pro-neurotensin/neuromedin N in tissues and cell lines. J Mol Med 2006; 84: 628–634.
Sirinek KR, O'Dorisio TM, Howe B, McFee AS . Neurotensin, vasoactive intestinal peptide, and Roux-en-Y gastrojejunostomy. Their role in the dumping syndrome. Arch Surg 1985; 20: 605–609.
Ernst A, Hellmich S, Bergmann A . Proneurotensin 1–117, a stable neurotensin precursor fragment identified in human circulation. Peptides 2006; 27: 1787–1793.
Chan JL, Mun EC, Stoyneva V, Mantzoros CS, Goldfine AB . Peptide YY levels are elevated after gastric bypass surgery. Obesity 2006; 14: 194–198.
Korner J, Bessler M, Cirilo LJ, Conwell IM, Daud A, Restuccia NL et al. Effects of Roux-en-Y gastric bypass surgery on fasting and postprandial concentrations of plasma ghrelin, peptide YY, and insulin. J Clin Endocrinol Metab 2005; 90: 359–365.
Rodieux F, Giusti V, D'Alessio DA, Suter M, Tappy L . Effects of gastric bypass and gastric banding on glucose kinetics and gut hormone release. Obesity 2008; 16: 298–305.
Batterham RL, Cohen MA, Ellis SM, Le Roux CW, Withers DJ, Frost GS . Inhibition of food intake in obese subjects by peptide YY3–36 . N Engl J Med 2003; 349: 941–948.
Roth CL, Enriori PJ, Harz K, Woelfle J, Cowley MA, Reinehr T . Peptide YY is a regulator of energy homeostasis in obese children before and after weight loss. J Clin Endocrinol Metab 2005; 90: 6386–6391.
Vazquez Roque MI, Camilleri M, Stephens DA, Jensen MD, Burton DD, Baxter KL et al. Gastric sensorimotor functions and hormone profile in normal weight, overweight, and obese people. Gastroenterology 2006; 131: 1717–1724.
Otto B, Cuntz U, Otto C, Heldwein W, Riepl RL, Tschöp MH . Peptide YY release in anorectic patients after liquid meal. Appetite 2007; 48: 301–304.
Morinigo R, Moize V, Musri M, Lacy AM, Navarro S, Marin JL et al. Glucagon-like peptide-1, peptide YY, hunger, and satiety after gastric bypass surgery in morbidly obese subjects. J Clin Endocrinol Metab 2006; 91: 1735–1740.
Borg CM, le Roux CW, Ghatei MA, Bloom SR, Patel AG, Aylwin SJ . Progressive rise in gut hormone levels after Roux-en-Y gastric bypass suggests gut adaptation and explains altered satiety. Br J Surg 2006; 93: 210–215.
Santoro S, Milleo FQ, Malzoni CE, Klajner S, Borges P, Santo MA et al. Enterohormonal changes after digestive adaptation: five-year results of a surgical proposal to treat obesity and associated diseases. Obes Surg 2008; 18: 17–26.
Neary NM, Small CJ, Druce MR, Park AJ, Ellis SM, Semjonous NM et al. Peptide YY3–36 and glucagon-like peptide-17–36 inhibit food intake additively. Endocrinology 2005; 146: 5120–5127.
Sloth B, Davidsen L, Holst JJ, Flint A, Astrup A . Effect of subcutaneous injections of PYY1–36 and PYY3–36 on appetite, ad libitum energy intake, and plasma free fatty acid concentration in obese males. Am J Physiol Endocrinol Metab 2007; 293: E604–E609.
Tschöp M, Castaneda TR, Joost HG, Thöne-Reineke C, Ortmann S, Klaus S et al. Does gut hormone PYY3–36 decrease food intake in rodents? Nature 2004; 430: 166–173.
le Roux CW, Aylwin SJ, Batterham RL, Borg CM, Coyle F, Prasad V et al. Gut hormones profiles following bariatric surgery favor and anorectic state, facilitate weight loss, and improve metabolic parameters. Ann Surg 2006; 243: 108–114.
Batterham RL, Heffron H, Kapoor S, Chivers JE, Chandarana K, Herzog H et al. Critical role for peptide YY in protein-mediated satiation and body-weight regulation. Cell Metab 2006; 4: 223–233.
Guo Y, Ma L, Enriori PJ, Koska J, Franks PW, Brookshire T et al. Physiological evidence for the involvement of peptide YY in the regulation of energy homeostasis in humans. Obesity 2006; 14: 1562–1570.
Smeets AJ, Soenen S, Luscombe-Marsh ND, Ueland Ø, Westerterp-Plantenga MS . Energy expenditure, satiety, and plasma ghrelin, glucagon-like peptide 1, and peptide tyrosine-tyrosine concentrations following a single high-protein lunch. J Nutr 2008; 138: 698–702.
Weickert MO, Spranger J, Holst JJ, Otto B, Koebnick C, Möhlig M et al. Wheat-fibre-induced changes of postprandial peptide YY and ghrelin responses are not associated with acute alterations of satiety. Br J Nutr 2006; 96: 795–798.
Stoeckel LE, Weller RE, Giddings M, Cox JE . Peptide YY levels are associated with appetite suppression in response to long-chain fatty acids. Physiol Behav 2008; 93: 289–295.
Daousi C, MacFarlane IA, English PJ, Wilding JP, Patterson M, Dovey TM et al. Is there a role for ghrelin and peptide-YY in the pathogenesis of obesity in adults with acquired structural hypothalamic damage? J Clin Endocrinol Metab 2005; 90: 5025–5030.
Feldman M, Richardson CT . Role of thought, sight, smell, and taste of food in the cephalic phase of gastric acid secretion in humans. Gastroenterology 1986; 90: 428–433.
Sundbom M, Holdstock C, Edén Engström B, Karlsson FA . Early changes in ghrelin following Roux-en-Y gastric bypass: influence of vagal nerve functionality? Obes Surg 2007; 17: 304–310.
Christ-Crain M, Stoeckli R, Ernst A, Morgenthaler NG, Bilz S, Korbonits M et al. Effect of gastric bypass and gastric banding on pro-neurotensin levels in morbidly obese patients. J Clin Endocrinol Metab 2006; 91: 3544–3547.
Sahu A, Carraway RE, Wang YP . Evidence that neurotensin mediates the central effect of leptin on food intake in rat. Brain Res 2001; 888: 343–347.
Acknowledgements
The study was supported by the Family Ernfors fund, and the Sehlander and the Thuring foundations. We thank Margareta Ericson for expert laboratory assistance, Birgitta Pettersson and Elisabeth Olsson for excellently taking care of the subjects, and Lars Lind for statistical advice.
Author information
Authors and Affiliations
Corresponding author
Rights and permissions
About this article
Cite this article
Holdstock, C., Zethelius, B., Sundbom, M. et al. Postprandial changes in gut regulatory peptides in gastric bypass patients. Int J Obes 32, 1640–1646 (2008). https://doi.org/10.1038/ijo.2008.157
Received:
Revised:
Accepted:
Published:
Issue date:
DOI: https://doi.org/10.1038/ijo.2008.157
Keywords
This article is cited by
-
GLP-1: 10-year follow-up after Roux-en-Y gastric bypass
Langenbeck's Archives of Surgery (2022)
-
Reduced postprandial bone resorption and greater rise in GLP-1 in overweight and obese individuals after an α-glucosidase inhibitor: a double-blinded randomized crossover trial
Osteoporosis International (2021)
-
Gut hormone release after gastric bypass depends on the length of the biliopancreatic limb
International Journal of Obesity (2019)
-
The anorexigenic peptide neurotensin relates to insulin sensitivity in obese patients after BPD or RYGB metabolic surgery
International Journal of Obesity (2018)
-
Upregulation of Ghrelin Gene Expression in the Excluded Stomach of Obese Women with Type 2 Diabetes After Roux-en-Y Gastric Bypass in the SURMetaGIT Study
Obesity Surgery (2018)


