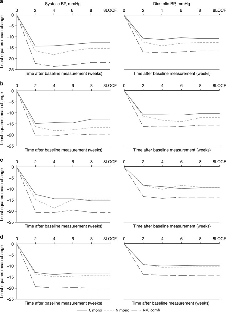
Figure 1

Least squares mean change in SBP/DBP (mm Hg) during 8 weeks of treatment with nifedipine GITS (N20, 30, 60) and/or candesartan cilexetil (C4, 8, 16, 32) in individuals with (a) renal impairment (baseline eGFR<90 ml min−1), (b) T2DM, (c) hypercholesterolaemia (total cholesterol>240 mg dl−1) or (d) any CV risk factors (T2DM or BMI⩾30 kg m−2 or LDL⩾130 mg dl−1). Abbreviations: BMI, body mass index; BP, blood pressure; C, candesartan cilexetil; CV, cardiovascular; DBP, diastolic blood pressure; eGFR, estimated glomerular filtration rate; LDL, low-density lipoprotein; N, nifedipine GITS; SBP, systolic blood pressure; T2DM, type 2 diabetes mellitus.