Abstract
Objective:
During therapeutic whole body cooling (WBC), the core temperature is usually monitored with an esophageal probe. Most infants receive mechanical ventilation while being cooled. As the temperature in the esophagus responds rapidly to changes in the ambient temperature, inhalation of warmed gas from ventilator may lead to overestimation of ventilated patients' actual temperature, causing automated cooling devices to overcool patients well below the desired set temperature targets. To determine if the esophageal temperature recordings during therapeutic WBC differ between ventilated and non-ventilated infants.
Study Design:
Twenty-two consecutively cooled infants had simultaneous esophageal and rectal temperatures recorded every 4 h during 72 h of WBC. Other clinical monitoring and treatment during hypothermia were provided under an established protocol.
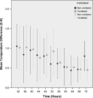
Results:
Fourteen infants received mechanical ventilation throughout the duration of cooling. The remaining eight infants were initially ventilated but were extubated later and were not on ventilator between 32 and 72 h of WBC. The esophageal temperatures across every 4 h time points during the 32–72 h interval of WBC did not differ between the ventilated and non-ventilated infants. The magnitude (median, interquartile range) of the difference between esophageal and rectal temperatures was also similar between the two groups.
Conclusion:
Warmed inhaled gas does not interfere with the esophageal temperature during WBC.
This is a preview of subscription content, access via your institution
Access options
Subscribe to this journal
Receive 12 print issues and online access
$259.00 per year
only $21.58 per issue
Buy this article
- Purchase on SpringerLink
- Instant access to the full article PDF.
USD 39.95
Prices may be subject to local taxes which are calculated during checkout

Similar content being viewed by others
References
Shankaran S, Laptook AR, Ehrenkranz RA, Tyson JE, McDonald SA, Donovan EF et al. Whole-body hypothermia for neonates with hypoxic-ischemic encephalopathy. N Engl J Med 2005; 353: 1574–1584.
Azzopardi DV, Strohm B, Edwards AD, Dyet L, Halliday HL, Juszczak E et alTOBY Study Group. Moderate hypothermia to treat perinatal asphyxia encephalopathy. N Engl J Med 2009; 361: 1349–1358.
Sarkar S, Donn SM, Bhagat I, Dechert RE, Barks JD . Esophageal and rectal temperatures as estimates of core temperature during therapeutic whole-body hypothermia. J Pediatr 2013; 162: 208–210.
Lavinio A, Sanfilippo F, Gupta AK . Therapeutic hypothermia: heat transfer from warmed tracheal tubes to oesophageal temperature probes poses risk of life-threatening overcooling. Br J Anaesth 2012; 108: 328–329.
Author information
Authors and Affiliations
Corresponding author
Ethics declarations
Competing interests
The authors declare no conflict of interest.
Rights and permissions
About this article
Cite this article
Sarkar, S., Sarkar, S., Dechert, R. et al. Impact of warmed inhaled gas from the mechanical ventilator on esophageal temperature during therapeutic whole body hypothermia. J Perinatol 35, 490–492 (2015). https://doi.org/10.1038/jp.2015.3
Received:
Revised:
Accepted:
Published:
Issue date:
DOI: https://doi.org/10.1038/jp.2015.3


