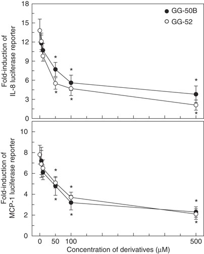
Figure 3

Effects of guggulsterone derivatives on reporter gene activation in COLO 205 cells stimulated with TNF-α. COLO 205 cells were transfected with pIL8- or pMCP-1-luciferase transcriptional reporter, as indicated. After 24 h, transfected cells were pretreated with the indicated concentration of GG-50B or GG-52 for 24 h and were then combined with TNF-α (10 ng/ml) for 4 h. Data are expressed as mean-fold induction ±s.e.m. of luciferase activity relative to unstimulated controls (n=5). The mean-fold induction of β-actin reporter gene activity relative to the unstimulated controls remained relatively constant throughout each experiment. *P<0.05 compared with TNF-α alone.