Figure 2

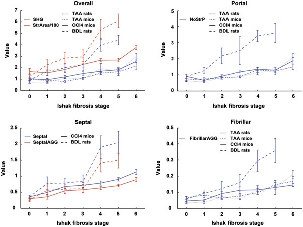
Changes in collagen features along with the Ishak fibrosis stages in different areas of the liver tissues from each animal model. BDL, bile duct ligation; CCl4, carbon tetrachloride; TAA, thioacetamide.

Changes in collagen features along with the Ishak fibrosis stages in different areas of the liver tissues from each animal model. BDL, bile duct ligation; CCl4, carbon tetrachloride; TAA, thioacetamide.