Figure 1

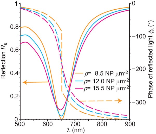
Illustration of the abrupt phase flip obtained from layers exhibiting zero reflection. The figure shows the reflected amplitude and phase for a layer of gold nanoparticles at various surface densities calculated using modified Fresnel coefficients for s-polarized light. The nanoparticles were simulated as oblate spheroids with minor and major axes of 20 nm and 80 nm, respectively, located at a glass/water interface. The illumination angle corresponds to the critical angle of the glass/air interface. NP, nanoparticle.