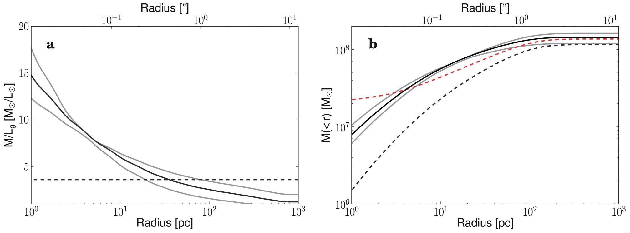
Extended Data Figure 5: Mass-to-light ratio gradient dynamical models.
From: A supermassive black hole in an ultra-compact dwarf galaxy

a, The solid line shows the best-fitting g-band mass-to-light ratio (M/Lg) for a model that includes an M/L gradient but no black hole. The maximum M/Lg expected for a normal stellar population (assuming a standard IMF and age of 13 Gyr) is ∼5.1; the central M/Lg is about three times this value. Grey lines indicate the range of M/Lg values for gradient models within 1σ of the best fit. The dashed line shows the best-fitting constant-M/L model for a model including a supermassive black hole. b, The enclosed mass as a function of radius. The variable M/L fit with no black hole is shown as the solid line with uncertainties in grey. The black and red dashed lines show the enclosed stellar mass and the mass including the black hole from the constant-M/L + black hole fit.