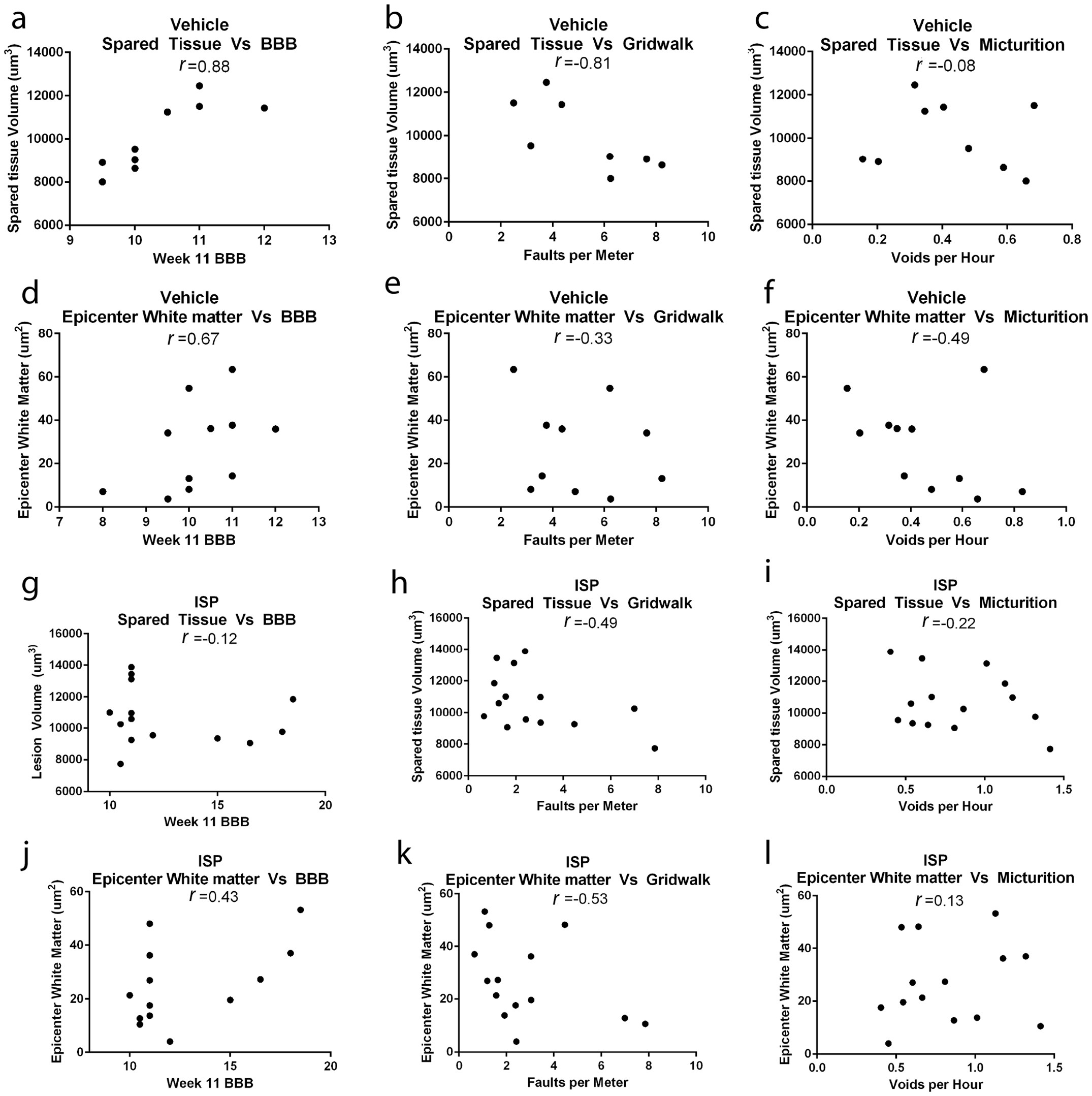
Extended Data Figure 9: Correlation between spared tissue and behavioural recovery.
From: Modulation of the proteoglycan receptor PTPσ promotes recovery after spinal cord injury

a–l, Spared tissue volume (as measured by GFAP-positive tissue) or area of spared white matter at the epicentre (as measured by eriochrome cyanine staining) were plotted against behavioural scores for vehicle- (a–f) and ISP-treated (g–l) animals. Pearson’s correlation coefficient (r value) is reported for each comparison. Only animals whose spinal cord was processed and cut coronally were included in the analysis.