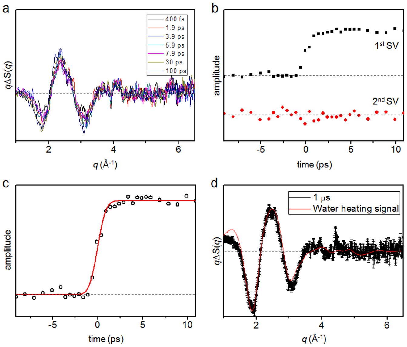
Extended Data Figure 2: Solvent heating contribution to the TRXSS signal.
From: Direct observation of bond formation in solution with femtosecond X-ray scattering

a, Experimental difference scattering curves, qΔS(q), of FeCl3 solution measured at several time delays (400 fs, 1.9 ps, 3.9 ps, 5.9 ps, 7.9 ps, 30 ps and 100 ps). b, SVD of the experimental difference scattering curves of FeCl3 measured from –10 ps to 100 ps. The first two right singular vectors multiplied by singular values are shown. c, The first right singular vector (black circles) fitted by an error function (red curve). This result implies that only a single difference scattering curve accounts for solvent heating in the time range up to 100 ps. d, Comparison of the difference scattering curve of the [Au(CN)2–]3 solution at 1 μs time delay (black) and the difference scattering curve for solvent heating (red). The error bar at each data point indicates the standard error determined from 50 independent measurements. At this time delay, the two curves are almost identical to each other within the experimental error, confirming that the difference scattering at late time delays are dominated by the solvent heating.