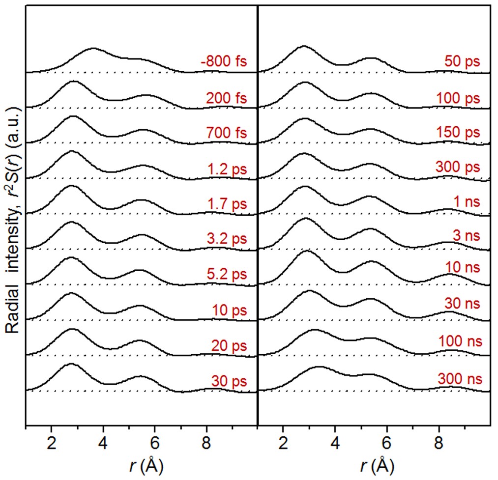
Extended Data Figure 5: Radial distribution functions, r2S(r, t).
From: Direct observation of bond formation in solution with femtosecond X-ray scattering

The RDF of the S0 state was added to the RDFs at all time delays to emphasize only the contributions of the transient solute species associated with the bond formation.