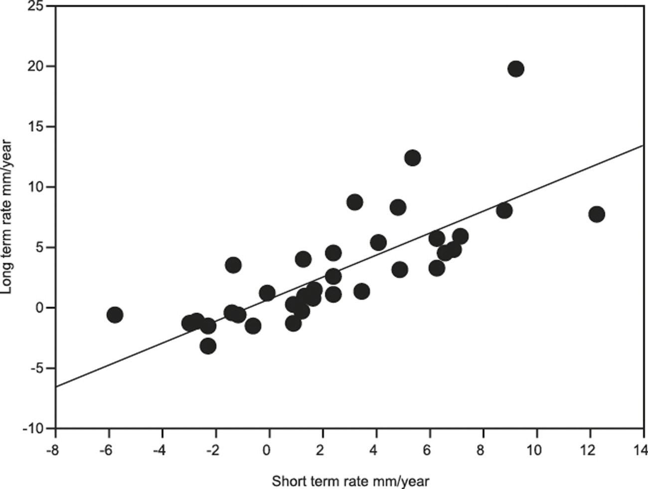
Extended Data Figure 4: Comparison of surface elevation gains measured over longer and shorter periods for three sites.
From: The vulnerability of Indo-Pacific mangrove forests to sea-level rise

The three sites are New Zealand (N = 3), Micronesia (N = 13) and Moreton Bay, Australia (N = 18). The long-term mean record length is 5.5 years; the short-term mean record length is 2.1 years. Longer-term and shorter-term rates were highly correlated (R2 = 0.59) with a slope of 0.90 ± 0.13, which is not statistically different from 1 (t = 0.769, P = 0.45).