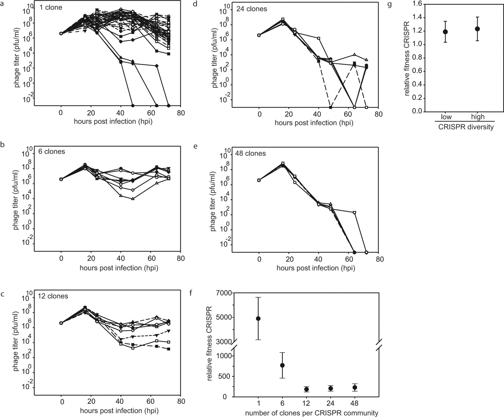
Extended Data Figure 3: Sensitive bacteria are unable to invade bacterial populations with CRISPR-mediated immunity in the presence of virus.
From: The diversity-generating benefits of a prokaryotic adaptive immune system

a–e, Virus titres (in plaque-forming units per millilitre) over time upon infection of a bacterial population consisting of an equal mixture of a sensitive CRISPR KO clone and a monoculture with CRISPR-mediated immunity (a; n = 48), or polycultures with CRISPR-mediated immunity consisting of 6 clones (b; n = 8), 12 clones (c; n = 8), 24 clones (d; n = 6) and 48 clones (e; n = 6). The number of replicates is chosen such that all clones are equally represented in each treatment. Each line indicates a biological replicate experiment. The limit of detection is 200 p.f.u. ml−1. f, Relative fitness of CRISPR populations at 3 d.p.i. during the competitions with the sensitive CRISPR KO described in a–e. Relative fitness of CRISPR populations decreases with increasing spacer diversity due to the rapid virus extinction, which benefits sensitive bacteria, but is higher than 1 in all cases. Error bars, 95% CI. g, Relative fitness of monoculture (single spacer; low diversity, n = 48) and polyculture (48 spacers; high diversity, n = 6) at 3 d.p.i. when competing with the CRISPR KO strain in the absence of virus. Error bars, 95% CI. In all cases n is the number of biological replicates.