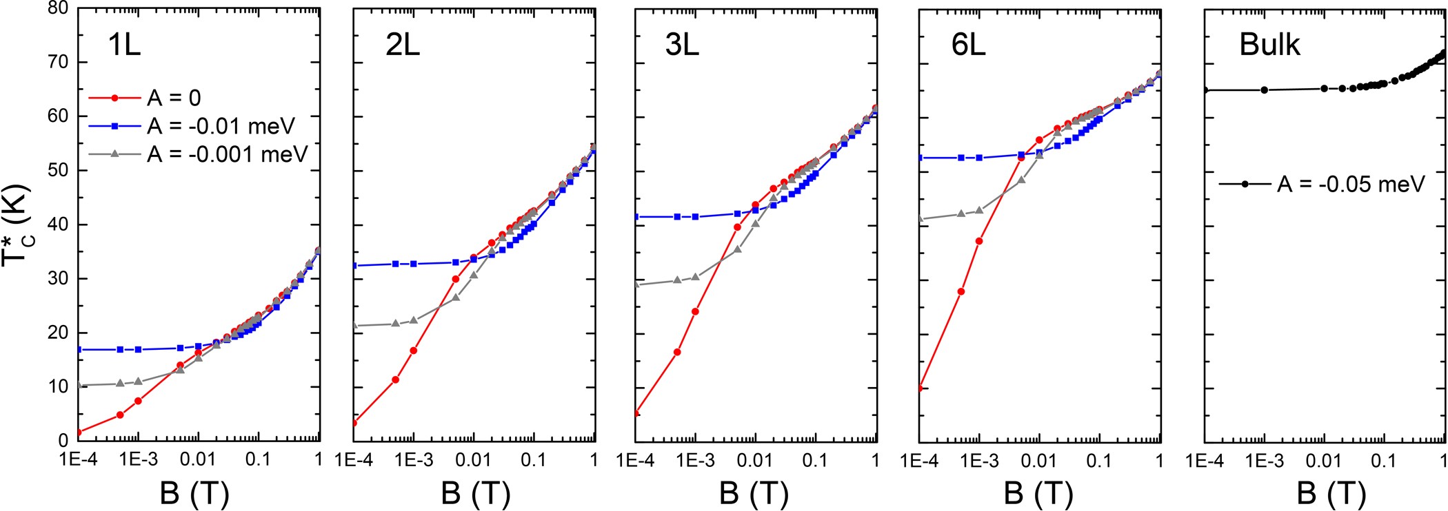
Extended Data Figure 10: Magnetic-field-dependent
under different values of anisotropy in RSWT.
From: Discovery of intrinsic ferromagnetism in two-dimensional van der Waals crystals

Calculated magnetic-field-dependent
of monolayer (1L), bilayer (2L), three-layer (3L) and six-layer (6L) samples using A = 0, A = −0.01 meV and A = −0.001 meV in RSWT, as well as that of the bulk, with A = −0.05 meV. The x axis (B field) is plotted on a logarithmic scale. The efficient field control of transition temperature is clearly seen for small anisotropies in 2D layers.
under different values of anisotropy in RSWT.