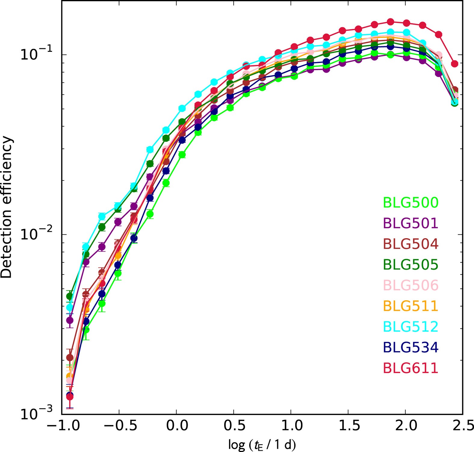
Extended Data Figure 2: Detection efficiency curves.
From: No large population of unbound or wide-orbit Jupiter-mass planets

Detection efficiencies as a function of the Einstein timescale tE for all analysed fields (averages for all subfields in the given field). Fields BLG501, BLG505 and BLG512 were observed with a 20-min cadence, and the remaining fields with a 60-min cadence. Error bars are the 1σ Poisson uncertainties on the counts of the number of simulated events in a given tE bin.