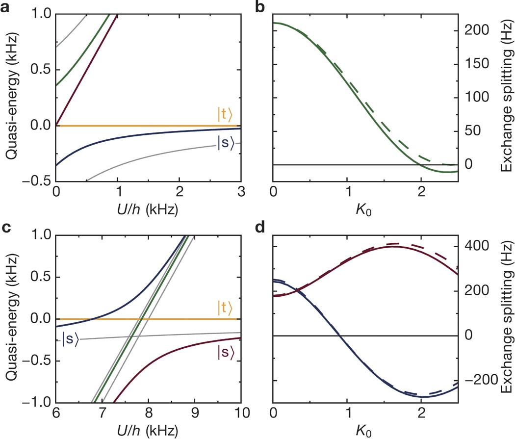
Extended Data Figure 4: Analytical and numerical treatment of a driven double well.
From: Enhancement and sign change of magnetic correlations in a driven quantum many-body system

a, Quasi-energy spectrum for two particles in a double well as a function of the onsite interaction U for off-resonant driving (t/h = 350 Hz, K0 = 1.5, ω/(2π) = 8 kHz). Each of the four Floquet states representing the quasi-energy spectrum is shown in a distinct colour. The grey lines show the energy spectrum without modulation. For
, the ground state is the spin singlet |s〉 and the first excited state is the triplet |t〉. To lowest order, the driving renormalizes the tunnelling by a zeroth-order Bessel function
. b, Calculated exchange energy Jex,off-res (see Methods), defined as the energy difference between the spin singlet and triplet states (see a), as a function of the driving amplitude K0 for an off-resonant modulation (t/h = 350 Hz, U/h = 2.1 kHz, ω/(2π) = 8 kHz; compare with Fig. 4b). The dashed line is the analytical result derived from a high-frequency expansion of the effective Hamiltonian; the solid line is the result of a numerical calculation. The exchange energy is reduced to small values as the tunnelling is renormalized by the zeroth-order Bessel function J0(K0). For large modulation amplitudes, deviations from the result obtained from an expansion up to order 1/ω can be observed. Here, the exchange already becomes weakly ferromagnetic owing to the finite value of the interaction. c, Floquet spectrum of the double-well system as a function of the interactions U for near-resonant driving (t/h = 640 Hz, K0 = 0.8, ω/(2π) = 8 kHz). The grey lines show the energy spectrum without periodic modulation. The drive couples the singlet state to a state that contains double occupancy, which leads to an avoided crossing at U ≈ ħω. As a result, a gap opens that is to lowest order given by 4J1(K0). d, Dependence of the exchange energy Jex,res on the modulation amplitude in the near-resonant regime for two different detunings with t/h = 640 Hz and ω/(2π) = 8 kHz (blue, U/h = 6.5 kHz; red, U/h = 9.1 kHz; compare with Fig. 4c). The dashed line is the analytical result (see Methods) derived from a high-frequency expansion of the effective Hamiltonian; the solid line is the result of a numerical calculation. For U > ħω the exchange energy is greatly increased, whereas for U < ħω it changes sign to ferromagnetic behaviour. In both driving regimes, the analytical result is in very good agreement with the numerics. Our measurements of the exchange energy in Fig. 4 agree well on a qualitative level with the theoretical expectation.