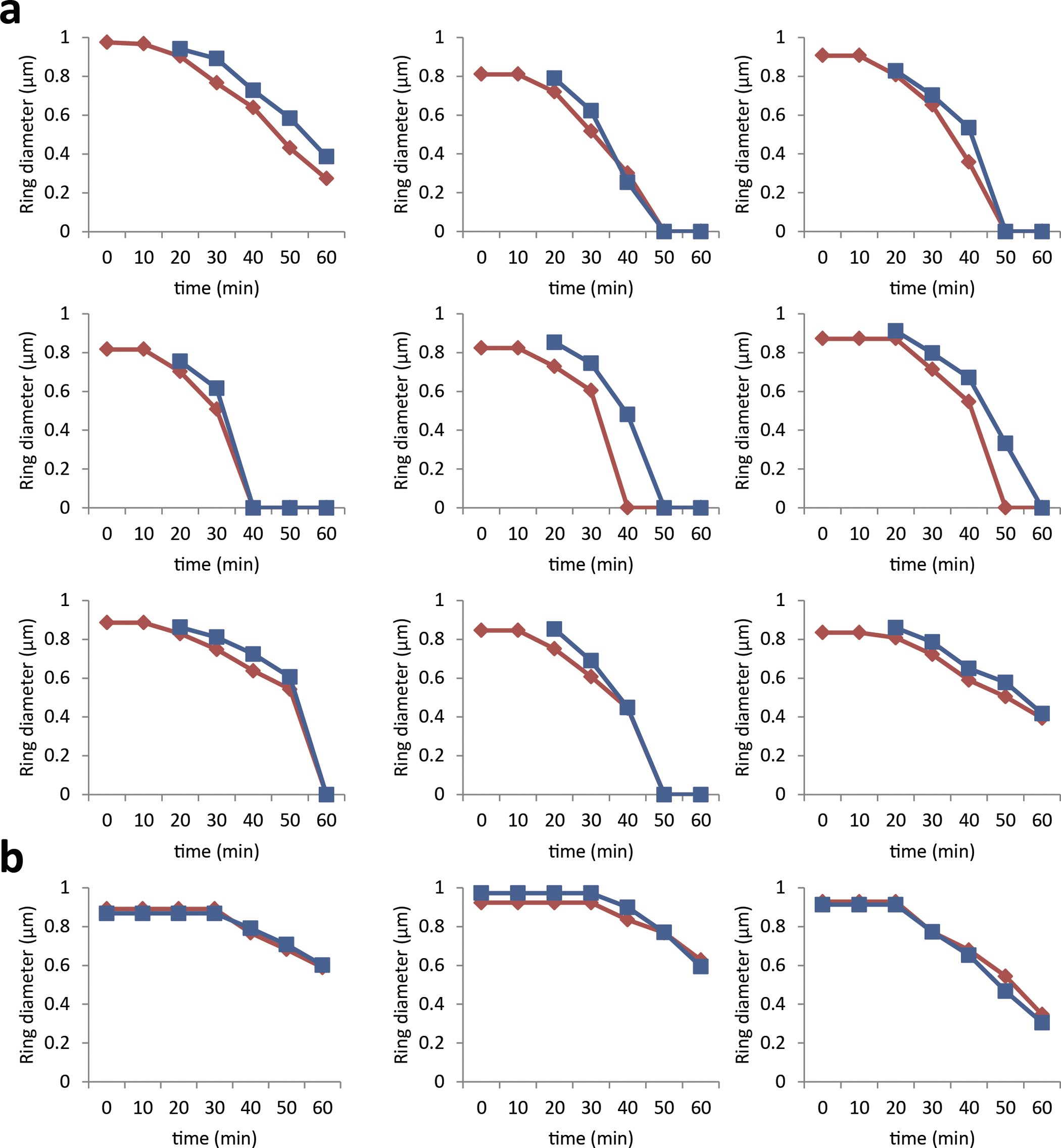
Extended Data Figure 9: Graphs of FtsZ, MurJ and FtsW ring diameter during constriction.
From: Peptidoglycan synthesis drives an FtsZ-treadmilling-independent step of cytokinesis

a, Graphs of ring diameters of FtsZ–mCherry (red) and MurJ–sGFP (blue) in strain ColJgZm. SIM images were taken every 10 min and measurements of ring diameter of FtsZ–mCherry and MurJ–sGFP were performed in cells in which a MurJ–sGFP signal first appeared after 20 min. b, Graphs of ring diameters of FtsZ–mCherry (red) and FtsW–sGFP (blue) in the strain ColWgZm. SIM images were taken every 10 min and measurements of ring diameter of FtsZ–mCherry and FtsW–sGFP were performed in cells in which FtsZ–mCherry ring diameter was constant for at least the first 20 min.