Abstract
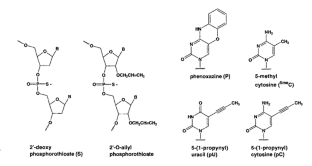
One of the major barriers to the development of antisense therapeutics has been their poor bioavailability. Numerous oligonucleotide modifications have been synthesized and evaluated for enhanced cellular permeation with limited success. Phenoxazine, a tricyclic 2´ deoxycytidine analog, was designed to improve stacking interactions between heterocycles of oligonucleotide/RNA hybrids and to enhance cellular uptake. However, the bioactivity and cellular permeation properties of phenoxazine-modified oligonucleotides were unknown. Incorporation of four phenoxazine bases into a previously optimized C-5 propyne pyrimidine modified 7-mer phosphorothioate oligonucleotide targeting SV40 large T antigen enhanced in vitro binding affinity for its RNA target and redirected RNAse H-mediated cleavage as compared with the 7-mer C-5 propynyl phosphorothioate oligonucleotide (S-ON). The phenoxazine/C-5 propynyl U 7-mer S-ON showed dose-dependent, sequence-specific, and target-selective antisense activity following microinjection into cells. Incubation of the phenoxazine/C-5 propynyl U S-ON with a variety of tissue culture cells, in the absence of any cationic lipid, revealed unaided cellular penetration, nuclear accumulation, and subsequent antisense activity. The unique permeation properties and gene-specific antisense activity of the 7-mer phenoxazine/C-5 propynyl U S-ON paves the way for developing potent, cost-effective, self-permeable antisense therapeutics.
This is a preview of subscription content, access via your institution
Access options
Subscribe to this journal
Receive 12 print issues and online access
$259.00 per year
only $21.58 per issue
Buy this article
- Purchase on SpringerLink
- Instant access to the full article PDF.
USD 39.95
Prices may be subject to local taxes which are calculated during checkout



Similar content being viewed by others
References
Wagner, R.W. 1995. The state of the art in antisense research. Nat. Med. 1: 1116–1118.
Stein, C.A. 1997. Controversies in the cellular pharmacology of oligodeoxynucleotides. Antisense Nucleic Acid Drug Dev. 7: 207–209.
Stein, C.A. and Krieg, A.M. 1994. Problems in interpretation of data derived from in vitro and in vivo use of the antisense oligonucleotides. Antisense Res. and Dev. 4: 67–69.
Nestle, F.O., Mitra, R.S., Bennett, C.F., Chan, H., and Nickoloff, B.J. 1994. Cationic lipid is not required for uptake and selective inhibitory activity of ICAM–1 phosphorothioate antisense oligonucleotides in keratinocytes. J. Invest. Dermatol. 103: 569– 575.
Giachetti, C. and Chin, D.J. 1996. Increased oligonucleotide permeability in keratinocytes of artificial skin correlates with differentiation and altered membrane function. J. Invest. Dermatol. 107: 256–262.
Wagner, R.W., Matteucci, M.D., Lewis, J.G., Gutierrez, A.J., Moulds, C., and Froehler, B.C. 1993. Antisense gene inhibition by oligonucleotide containing propyne pyrimidines. Science 260: 1510–1513.
Bergan, R., Connell, Y., Fahmy, B., and Neckers, L. 1993 . Electroporation enhances c–myc antisense oligodeoxynucleotide efficacy. Nucleic Acids Res. 21: 3567– 3573.
Spiller, D.G. and Tidd, D.M. 1995. Nuclear delivery of oligodeoxynucleotide through reversible permeabilization of human leukemia cells with streptolysin O. Antisense Res. Dev. 5: 13–21.
Partridge, M., Vincent, A., Matthews, P., Puma, J., Stein, D., and Summerton, J. 1996. A simple method for delivering morpholino antisense oligonucleotides into the cytoplasm of cells. Antisense Nucleic Acid Drug Dev. 6: 169– 175.
Pichon, C., Freulon, I., Midoux, P., Mayer, R., Monsigny, M., and Roche, A.–C. 1997. Cytosolic and nuclear delivery of oligonucleotides mediated by an amphiphilic anionic peptide. Antisense Nucleic Acid Drug Dev. 7: 335–343.
Lewis, J.G., Lin, K.Y., Kothavale, A., Flanagan, W.M., Matteucci, M.D., DePrince, R.B. et al. 1996. A serum–resistant cytofectin for cellular delivery of antisense oligodeoxynucleotides and plasmid DNA. Proc. Natl. Acad. Sci. USA 93: 3176– 3181.
Zelphati, O. and Francis C. Szoka, J. 1996. Intracellular distribution and mechanism of delivery of oligonucleotides mediated by cationic lipids. Pharm. Res. 13: 1367–1372.
Marcusson, E.G., Bhat, B., Manoharan, M., Bennett, C.F., and Dean, N.M. 1998. Phosphorothioate oligodeoxyribonucleotides disassociate from cationic lipids before entering the nucleus. Nucleic Acids Res. 26: 2016–2023.
Matteucci, M. 1997. Oligonucleotide analogues: an overview. Ciba Found. Symp. 209: 5–14.
Krieg, A.M., Tonkinson, J., Matson, S., Zhao, Q., Saxon, M., Zhang, L.–M. et al. 1993. Modification of antisense phosphodiester oligodeoxynucleotides by a 5´ cholesteryl moiety increases cellular association and improves efficacy. Proc. Natl. Acad. Sci. USA 90: 1048–1052.
Lu, X.–M., Fischman, A.J., Jyawook, S.L., Hendricks, K., Tompkins, R.G., and Yarmush, M.L. 1994. Antisense DNA delivery in vivo: liver targeting by receptor–mediated uptake. J. Nucl. Med. 35: 269–275.
Kang, Y.–S., Boado, R.J., and Pardridge, W.M. 1995. Pharmacokinetics and organ clearance of a 3´–biotinylated, internally [32P]–labeled phosphodoester oligodeoxynucleotide coupled to a neutral avidin/monoclonal antibody conjugate. Drug Metab. Disp. 23: 55–59.
Hughes, J.A., Bennett, C.F., Cook, P.D., Guinosso, C.J., Mirabelli, C.K., and Juliano, R.L. 1994. Lipid membrane permeability of 2´–modified derivatives of phosphorothioate oligonucleotides. J. Pharm. Sci. 83: 597– 600.
Wagner, R.W., Matteucci, M.D., Grant, D., Huang, T., and Froehler, B.C. 1996. Potent and selective inhibition of gene expression by an antisense heptanucleotide. Nat. Biotechnol. 14: 840– 844.
Wagner, R.W. and Flanagan, W.M. 1997. Antisense technology and prospects for therapy of infectious disease and cancer. Mol. Med. Today 3: 31–38.
Loke, S.L., Stein, C.A., Zhang, X.H., Mori, K., Nakanishi, M., Subasinghe, C. et al. 1989. Characterization of oligonucleotide transport into living cells. Proc. Natl. Acad. Sci. USA 86: 3474– 3478.
Miller, P.S., Yano, J., Yano, E., Carroll, C., Jayaraman, K., and Ts'o, P.O.P. 1979. Synthesis and characterization of dideoxyribonucleoside methyl phosphonates. Biochemistry 18: 5134 –5143.
Jones, R.J., Lin, K.–Y., Milligan, J.F., Wadwani, S., and Matteucci, M.D. 1993. Synthesis and binding properties of pyrimidine oligodeoxynucleoside analogs containing neutral phosphodiester replacements: the formacetal and 3´–thioformacetal internucleoside linkages. J. Org. Chem. 58: 2983–2991.
Vasseur, J.–J., Debart, F., Sanghvi, Y.S., and Cook, P.D. 1992. Oligonucleosides: Synthesis of a novel methylhydroxylamine–linked nucleoside dimer and its incorporation into antisense sequences. J. Am. Chem. Soc. 114: 4006–4007.
Nielsen, P.E., Egholm, M., and Buchardt, O. 1994. A DNA mimic with a peptide backbone. Bioconjug. Chem. 5: 3– 7.
Lin, K.–Y., Jones, R.J., and Matteucci, M. 1995. Synthesis and incorporation into oligodeoxynucleotides which have enhanced binding to complementary RNA. J. Am. Chem. Soc. 117: 3873– 3874.
Lima, W.F. and Crooke, S.T. 1997. Binding affinity and specificity of Escherichia coli RNAse H1: Impact of the kinetics of catalysis of antisense oligonucleotide–RNA hybrids. Biochemistry 36: 390–398.
Moulds, C., Lewis, J.G., Froehler, B.C., Grant, D., Huang, T., Milligan, J.F. et al. 1995. Site and mechanism of antisense inhibition by C–5 propyne oligonucleotides. Biochemistry 34: 5044–5053.
Flores–Rozas, H. and Hurwitz, J. 1993 . Characterization of a new RNA helicase from nuclear extracts of HeLa cells which translocates in the 5´ to 3´ direction. J. Biol. Chem. 268: 21372–21383.
Monia, B.P., Johnston, J.F., Greiger, T., Muller, M., and Fabbro, D. 1996. Antitumor activity of a phosphorothioate antisense oligonucleotide targeted against c–raf kinase. Nat. Med. 2: 668– 675.
McKay, R. and Dean, M.N. 1994. Inhibition of protein kinase C–alpha expression in mice after systematic administration of phosphorothioate. Proc. Natl. Acad. Sci. USA 91: 1762–1766.
Stepkowski, S.M., Tu, Y., Condon, T.P., and Bennett, C.F. 1994 . Blocking of heart allograft rejection by intercellular adhesion molecule–1 antisense oligonucleotides alone or in combination with other immunosuppressive modalities. J. Immunol. 5336– 5346.
Plenat, F. 1996. Animal models of antisense oligonucleotides: lessons for use in humans. Mol. Med. Today 2: 250 –257.
Flanagan, W.M. 1998. Antisense comes of age. Cancer and Metastasis Reviews 17: 169–176.
Srinivasan, S.K. and Iversen, P. 1995 . Review of in vivo pharmacokinetics and toxicology of phosphorothioate oligonucleotides. J. Clin. Lab. Anal. 9: 129–137.
Bijsterbosch, M.K., Manoharan, M., Rump, E.T., Vrueh, R.L.A.D., Veghel, R.V., Tivel, K.L. et al. 1997. In vivo fate of phosphorothioate antisense oligodeoxynucleotides: predominant uptake by scavenger receptors on endothelial liver cells. Nucleic Acids Res. 25: 3290–3296.
Agrawal, S., Temsamani, J., Galbraith, W., and Tang, J. 1995. Pharmacokinetics of antisense oligonucleotides. Drug Disp. 28: 7–16.
Crooke, S.T., Graham, M.J., Zuckerman, J.E., Brooks, D., Conklin, B.S., Cummins, L.L. et al. 1996. Pharmacokinetic properties of several novel oligonucleotide analogs in mice. J. Pharmacol. Exp. Ther. 923–937.
Geary, R.S., Leeds, J.M., Henry, S.P., Monteith, D.K., and Levin, A.A. 1997. Antisense oligonucleotide inhibitors for the treatment of cancer: pharmacokinetic properties of phosphorothioate oligodeoxynucleotides. Anti–cancer Drug Des. 12: 383–393.
Delong, R.K., Nolting, A., Fisher, M., Chen, Q., Wickstrom, E., Kligshteyn, M. et al. 1997. Comparative pharmacokinetics, tissue distribution, and tumor accumulation of phosphorothioate, phosphorodithioate, and methylphosphonate oligonucleotides in nude mice. Antisense Nucleic Acid Drug Dev. 7: 71–77.
Fisher, T.L., Terhorst, T., Cao, X., and Wagner, R.W. 1993 . Intracellular disposition and metabolism of fluorescently labeled unmodified and modified oligonucleotides microinjected into mammalian cells. Nucleic Acids Res. 21: 3857– 3865.
Froehler, B.C., Wadwani, S., Terhorst, T.J., and Gerrard, S.R. 1992. Oligodeoxynucleotides containing C–5 propyne analogs of 2´–deoxyuridine and 2´–deoxycytidine. Tetrahedron Lett. 33: 5307–5310.
Froehler, B.C., Jones, R.J., Cao, X., and Terhorst, T.J. 1993 . Oligonucleotides derived from 5–(1–propynyl)–2´–O–allyl–uridine and 5–(1–propynyl)–2´–allyl–cytidine: Synthesis and RNA duplex formation. Tetrahedron Lett. 34: 1003–1006.
Flanagan, W.M., Su, L.L., and Wagner, R.W. 1996. Elucidation of gene function using C–5 propyne antisense oligonucleotides. Nat. Biotechnol. 14: 1139–1145.
Gutierrez, A.J., Matteucci, M.D., Grant, D., Matsumura, S., Wagner, R.W., and Froehler, B.C. 1997. Antisense gene inhibition by C–5–substituted deoxyuridine–containing oligodeoxynucleotides. Biochemistry 36: 743–748 .
Author information
Authors and Affiliations
Corresponding authors
Rights and permissions
About this article
Cite this article
Flanagan, W., Wagner, R., Grant, D. et al. Cellular penetration and antisense activity by a phenoxazine-substituted heptanucleotide. Nat Biotechnol 17, 48–52 (1999). https://doi.org/10.1038/5220
Received:
Accepted:
Issue date:
DOI: https://doi.org/10.1038/5220


