Abstract
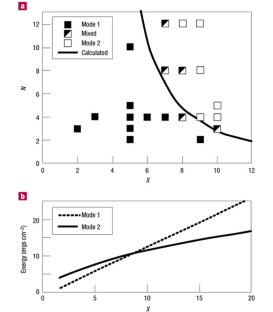
Magnetic multilayer films provide convenient model systems for studying the physics of antiferromagnetic films and surfaces. Here we report on the magnetic reversal and domain structure in antiferromagnetically coupled Co/Pt multilayers that are isomorphic to layered antiferromagnetic films with perpendicular magnetic anisotropy. We observe two distinct remanent states and reversal modes of the system. In mode 1 the magnetization in each layer reverses independently, producing an antiferromagnetic remanent state that shows full lateral correlation and vertical anticorrelation across the interlayers. In mode 2 the reversal in adjacent layers is locally synchronized with a remanent state that is vertically correlated but laterally anticorrelated in ferromagnetic stripe domains. Theoretical energy calculations of the two ground states identify a new phase boundary that is in good agreement with our experimental results.
This is a preview of subscription content, access via your institution
Access options
Subscribe to this journal
Receive 12 print issues and online access
$259.00 per year
only $21.58 per issue
Buy this article
- Purchase on SpringerLink
- Instant access to the full article PDF.
USD 39.95
Prices may be subject to local taxes which are calculated during checkout



Similar content being viewed by others
References
Néel, L. Propriétés magnétiques de l'état métallique et énergie d'interaction entre atomes magnétiques. Ann. Phys. (Paris) 5, 232–279 (1936).
Kools, J.C.S. Exchange-biased spin-valves for magnetic storage. IEEE Trans. Magn. 32, 3165–3184 (1996).
Nogués, J. & Schuller, I.K. Exchange bias. J. Magn. Magn. Mater. 192, 203–232 (1999).
Nolting, F. et al. Direct observation of the alignment of ferromagnetic spins by antiferromagnetic spins. Nature 405, 767–769 (2000).
Kortright, J.B. et al. Research frontiers in magnetic materials at soft X-ray synchrotron radiation facilities. J. Magn. Magn. Mater. 207, 7–44 (1999).
Camley, R.E. & Tilley, D.R. Phase transitions in magnetic superlattices. Phys. Rev. B 37, 3413–3421 (1988).
Dieny, B.J., Gavigan, P. & Rebouillat, J.P. Magnetisation processes, hysteresis and finite-size effects in model multilayer systems of cubic or unitaxial anisotropy with antiferromagnetic coupling between adjacent layers. J. Phys. Condens. Matter 2, 159–185 (1990).
Hood, R.Q. & Falicov, L.M. Itinerant-electron, one-dimensional magnetic superlattices. Phys. Rev. B 44, 9989–9996 (1991).
Wang, R.W., Mills, D.L., Fullerton, E.E., Mattson, J.E. & Bader, S.D. Surface spin-flop transition in Fe/Cr(211) superlattices: Experiment and theory. Phys. Rev. Lett. 72, 920–923 (1994).
Jiang, J.S. et al. Exchange-bias effect in Fe/Cr(211) double superlattice structures. Phys. Rev. B 61, 9653–9656 (2000).
Mills, D.L. Surface spin-flop state in a simple antiferromagnet. Phys. Rev. Lett. 20, 18–21 (1968).
Micheletti, C., Griffiths, R.B. & Yeomans, J.M. Surface spin-flop and discommensuration transitions in antiferromagnets. Phys. Rev. B 59, 6239–6249 (1999).
Johnson, M.T., Bloemen, P.J.H., den Broeder, F.J.A. & de Vries, J.J. Magnetic anisotropy in metallic multilayers. Rep. Prog. Phys. 59, 1409–1458 (1996).
Parkin, S.S.P., More, N. & Roche, K.P. Oscillations in exchange coupling and magnetoresistance in metallic superlattice structures: Co/Ru, Co/Cr, and Fe/Cr. Phys. Rev. Lett. 64, 2304–2307 (1990).
Willekens, M.M.H. et al. in Magnetic Ultrathin Films: Multilayers and Surfaces, Interfaces and Characterization, MRS Symp. Proc. 313 (eds Jonker, B.T. et al.) 129–135 (Materials Research Society, Pittsburgh, 1993).
Kittel, C. Theory of the structure of ferromagnetic domains in films and small particles. Phys. Rev. 70, 965–971 (1946); Physical theory of ferromagnetic domains. Rev. Mod. Phys. 21, 541–583 (1949).
Kooy, C. & Enz, U. Experimental and theoretical study of the domain configuration in thin layers of BaFe12O19 . Philips Res. Rep. 15, 7–29 (1960).
Hubert, A. & Schäfer, R. Magnetic Domains Ch. 3, 5 (Springer, Berlin, 1998).
Bochi, G. et al. Magnetic domain structure in ultrathin films. Phys. Rev. Lett. 75, 1839–1842 (1995).
Gehanno, V., Samson, Y., Marty, A., Gilles, B. & Chamberod, A. Magnetic susceptibility and magnetic domain configuration as a function of the layer thickness in epitaxial FePd(001) thin films ordered in the L1(0) structure. J. Magn. Magn. Mater. 172, 26–40 (1997).
Seul, M. & Wolfe, R. Evolution of disorder in two-dimensional stripe patterns: “Smectic” instabilities and disclination unbinding. Phys. Rev. Lett. 68, 2460–2463 (1992).
Bobcock, K.L. & Wetervelt, R.M. Avalanches and self-organization in cellular magnetic-domain patterns. Phys. Rev. Lett. 64, 2168–2171 (1990).
Kortright, J.B. et al. Soft x-ray small-angle scattering as a sensitive probe of magnetic and charge heterogeneity. Phys. Rev. B 64, 092401 (2001).
Málek, Z. & Kamberský, V. Theory of the domain structure of thin films of magnetically uni-axial materials. Czech J. Phys. 8, 416–422 (1958).
Hameed, S. et al. Analysis of disordered stripe magnetic domains in strained epitaxial Ni(001) films. Phys. Rev. B 64, 184406 (2001).
Labrune, M. & Belliard, L. Stripe domains in multilayers: Micromagnetic simulations. Phys. Status Solidi A 174, 483–497 (1999).
Acknowledgements
Work at LBNL was supported by the Office of Science, Office of Basic Energy Sciences, Division of Materials Science of the US Department of Energy under contract DE-AC03-76SF00098. O.H. was partially supported by the Deutsche Forschungsgemeinschaft through a Forschungsstipendium under the contract number HE 3286/1-2.
Author information
Authors and Affiliations
Corresponding author
Ethics declarations
Competing interests
The authors declare no competing financial interests.
Rights and permissions
About this article
Cite this article
Hellwig, O., Kirk, T., Kortright, J. et al. A new phase diagram for layered antiferromagnetic films. Nature Mater 2, 112–116 (2003). https://doi.org/10.1038/nmat806
Received:
Accepted:
Published:
Issue date:
DOI: https://doi.org/10.1038/nmat806
This article is cited by
-
On the nature of the interlayer magnetic interactions in biphase ferromagnetic films
Scientific Reports (2023)
-
Room-temperature stabilization of antiferromagnetic skyrmions in synthetic antiferromagnets
Nature Materials (2020)
-
Artificially engineered Heusler ferrimagnetic superlattice exhibiting perpendicular magnetic anisotropy
Scientific Reports (2015)
-
Dependence of domain wall structures on repetition n in [Pt(0.5 nm)/Co(0.4 nm)] n /NiO(1.1 nm)/[Co(0.4 nm)/Pt(0.5 nm)] n multilayers
International Journal of Minerals, Metallurgy, and Materials (2010)
-
Control of speed and efficiency of ultrafast demagnetization by direct transfer of spin angular momentum
Nature Physics (2008)


