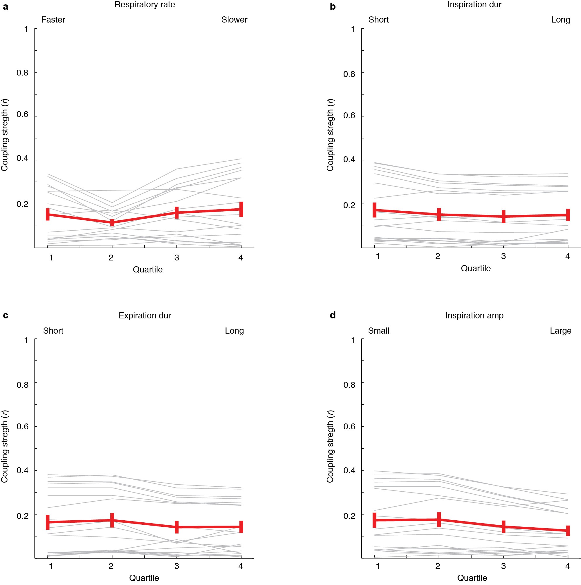
Supplementary Figure 7: Weak phase coupling in awake-state GCs is not a result of differences in breath parameters between wakefulness and anesthesia.
From: Broadly tuned and respiration-independent inhibition in the olfactory bulb of awake mice

All breaths from 18 cells recorded in 13 awake animals were divided into quartiles for each cell according to one of four breath parameters. Respiratory coupling strength for spikes did not systematically vary with any of the breath parameters we measured: breathing rate (a), inspiratory duration (b), expiratory duration (c), and inspiratory amplitude (d). Comparing the distribution of coupling strength across quartiles for each parameter, we saw no significant differences (Kruskal-Wallis test; n = 18; p = 0.79 (a), p = 0.66 (b), p = 0.70 (c), p = 0.66 (d)).