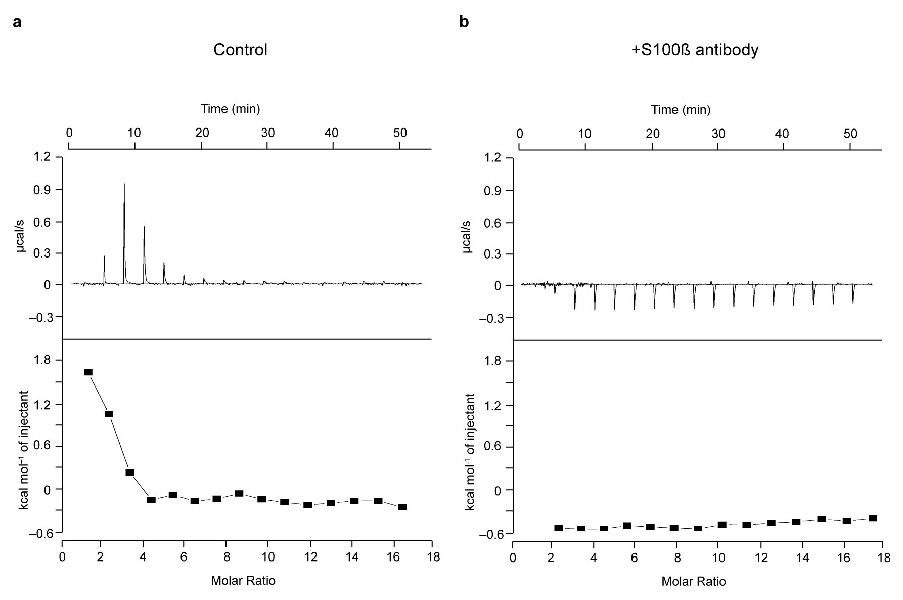
Supplementary Figure 6: Binding of Ca2+ to S100β is prevented in presence of an antibody.
From: An astrocyte-dependent mechanism for neuronal rhythmogenesis

Isothermal titration calorimetry data for the titration of S100β with Ca2+ in the absence (a) or the presence (b) of an anti-S100β antibody. Top panel: raw thermogram of S100β titrated with CaCl2 at 20°C. Bottom panel: Integrated heats of the raw data from the top panel.