Two mistakes were introduced during production of this paper. On page 131, in the first paragraph of the introduction, a sentence βThe multifunctional DBP also binds monomeric actin (G-actin) and slowly depolymerizes filamentous actin.β was inadvertently inserted. The correct version of this part of the introduction should read: βExperiments with DBP knockout mice have shown that DBP protects against dietary vitamin D3 deficiency4. In addition, the DBPβ25OHD3 complex is reabsorbed in the proximal tubulus by the endocytic receptor megalin6.β
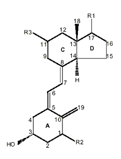
In Fig. 1, the positions of substituents R2 and R3 of the vitamin D3 ligands were incorrectly labeled on the chemical formula. The correct formula is reproduced. We apologize for any confusion these mistakes may have caused.

Additional information
The online version of the original article can be found at 10.1038/nsb754
Rights and permissions
About this article
Cite this article
Verboven, C., Rabijns, A., De Maeyer, M. et al. Erratum: A structural basis for the unique binding features of the human vitamin D-binding protein. Nat Struct Mol Biol 9, 316 (2002). https://doi.org/10.1038/nsb0402-316a
Issue date:
DOI: https://doi.org/10.1038/nsb0402-316a