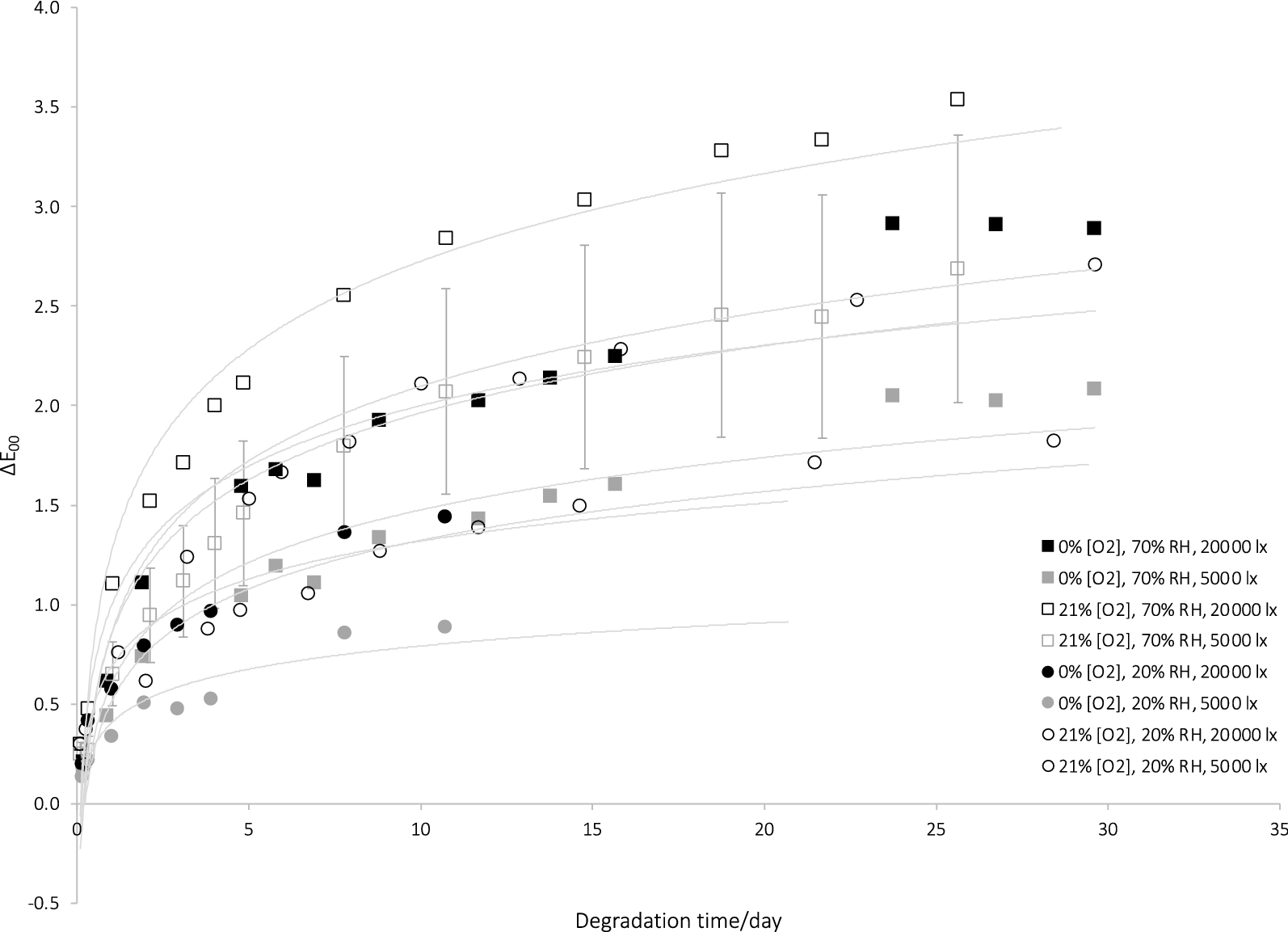
Fig. 5
From: Factorial experimentation on photodegradation of historical paper by polychromatic visible radiation

Scatter plots showing the change of average ΔE00 over time for eight experimental conditions. Trend lines indicate the logarithmic relationships, for which the coefficients and the goodness-of-fit are presented in the legend. Error bars are shown for one sample set. They represent the coefficients of variation in ΔE00 across all the samples, which is typically 25% for all the data points