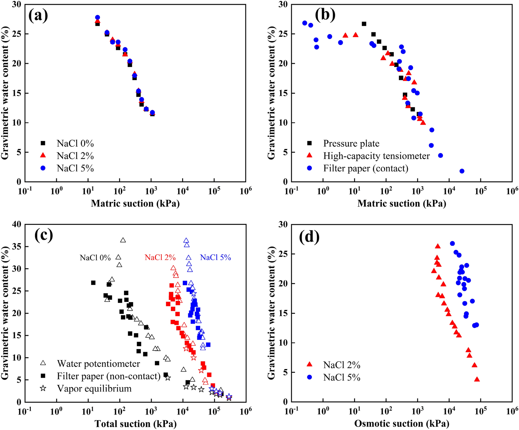
Fig. 2

WRCs of the heritage soil [80, 81]. a Water content versus matric suction obtained by pressure plate method; b Water content versus matric suction obtained on NaCl-free specimen by different methods; c Water content versus total suction obtained by different methods; d Water content versus osmotic suction of NaCl-contaminated specimens