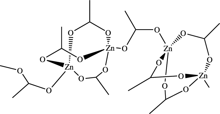
Fig. 4 | Heritage Science