Fig. 1
From: Search for new materials based on chitosan for the protection of cultural heritage

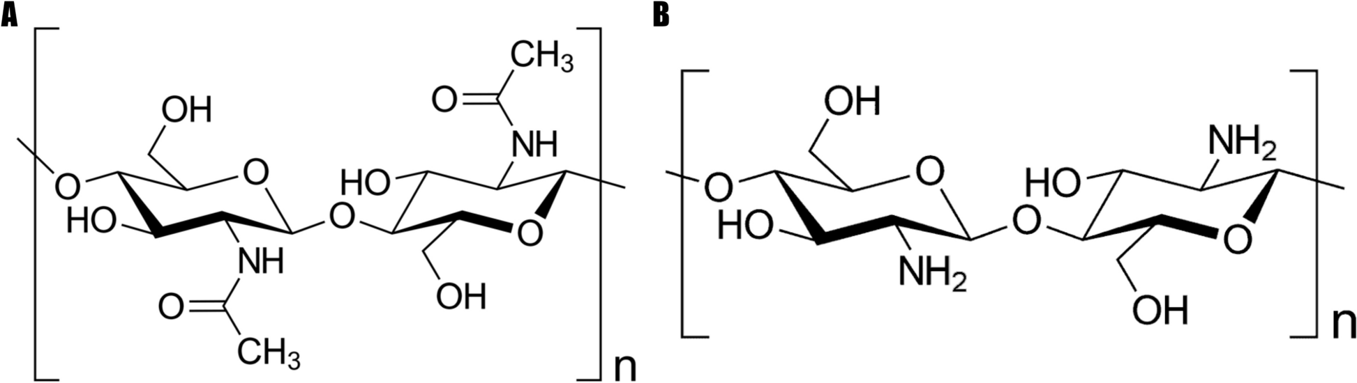
Chemical structure of: A—chitin; B—chitosan
From: Search for new materials based on chitosan for the protection of cultural heritage

Chemical structure of: A—chitin; B—chitosan