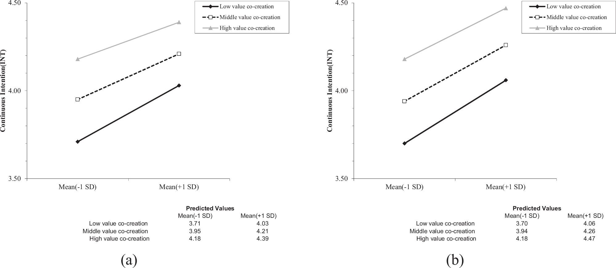
Fig. 4: Simple slope of the moderating effect of value co-creation.

a UPC × INT and b HPC × INT;∣ Although the straight lines in a and b slope from the lower left to the upper right, there is no significant trend in the slope changes at both high and low levels of the moderating variable (VOC).