Fig. 8
From: Growth regulation of calcium oxalate film for surface protection of carbonate stone heritage

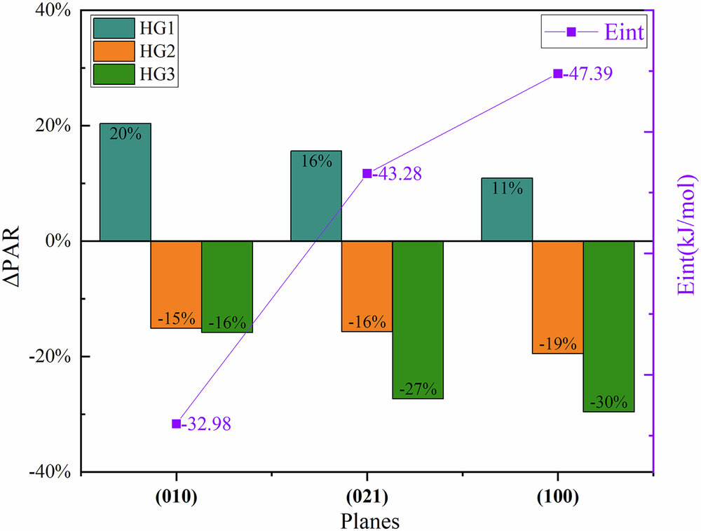
The ΔPAR of the crystal with Eint.
From: Growth regulation of calcium oxalate film for surface protection of carbonate stone heritage

The ΔPAR of the crystal with Eint.